上海交通大学学报, 2025, 59(6): 857-866 doi: 10.16183/j.cnki.jsjtu.2023.363

新型电力系统与综合能源

功率阶跃控制下系统频率最低点量化与提升方法

伍双喜1, 李文博,2, 秦颖婕1, 闫斌杰1, 李佳朋2, 李宇骏2

1.广东电网有限责任公司电力调度控制中心,广州 510060

2.西安交通大学 电气工程学院,西安 710049

Quantization and Enhancement of System Frequency Nadir in Power Step Control

WU Shuangxi1, LI Wenbo,2, QIN Yingjie1, YAN Binjie1, LI Jiapeng2, LI Yujun2

1. Electric Power Dispatching and Control Center of Guangdong Power Grid Co., Ltd., Guangzhou 510060, China

2. School of Electrical Engineering, Xi’an Jiaotong University, Xi’an 710049, China

通讯作者: 李文博,硕士生;E-mail:wenbo990904@foxmail.com.

责任编辑: 王历历

收稿日期: 2023-08-2   接受日期: 2024-02-7  

基金资助: 南方电网公司科技项目(GDKJXM20220335)

Received: 2023-08-2   Accepted: 2024-02-7  

作者简介 About authors

伍双喜(1984—),博士,教授级高工,从事大电网分析与控制、网源协调等研究.

摘要

换流器型电源具有控制灵活、响应快的优点,利用其转子动能可实现对系统频率的快速支撑.针对现有方法缺乏控制对频率最低点影响的量化分析,无法在不同条件下有效提升频率最低点,提出一种基于功率阶跃控制的频率支撑策略,旨在提升频率最低点.首先,分析功率阶跃控制下系统的频率响应,推导受扰后两次频率下跌时频率最低点的解析表达式.然后,基于该表达式,结合各风力发电机(风机)可释放的转子动能确定功率阶跃控制的最优参考值,实现多风机附加功率的协调分配.最后,在MATLAB/Simulink上搭建测试系统模型,数值仿真结果验证了所提策略的有效性.

关键词: 系统频率响应; 永磁同步发电机; 一次调频; 功率阶跃控制

Abstract

Converter interfaced power sources have the advantages of flexible and fast response, and the kinetic energy can be released to provide fast system frequency support. However, most of the existing control strategies neglect quantitative analysis of how control strategies affect the frequency nadir, and fail to effectively enhance the frequency nadir under different conditions. Aimed at improving the system frequency nadir, a frequency support strategy based on step power control is proposed. First, the system frequency response under step power control is analyzed, and analytical expressions for the two frequency nadirs following the disturbance are derived. Then, the optimal reference of power step control is determined by considering the kinetic energy which can be released by each wind turbine generator, and a coordinated distribution of the additional power is realized based on these expressions. Finally, a test system is implemented by using MATLAB/Simulink to verify the proposed strategy in numerical simulation.

Keywords: system frequency response; permanent magnet synchronous generator (PMSG); primary frequency regulation; step power control

PDF (1914KB) 元数据 多维度评价 相关文章 导出 EndNote| Ris| Bibtex  收藏本文

本文引用格式

伍双喜, 李文博, 秦颖婕, 闫斌杰, 李佳朋, 李宇骏. 功率阶跃控制下系统频率最低点量化与提升方法[J]. 上海交通大学学报, 2025, 59(6): 857-866 doi:10.16183/j.cnki.jsjtu.2023.363

WU Shuangxi, LI Wenbo, QIN Yingjie, YAN Binjie, LI Jiapeng, LI Yujun. Quantization and Enhancement of System Frequency Nadir in Power Step Control[J]. Journal of Shanghai Jiaotong University, 2025, 59(6): 857-866 doi:10.16183/j.cnki.jsjtu.2023.363

近年来,风力发电因清洁无污染、资源丰富、利于大规模开发等优点受到广泛关注,其渗透率稳步提升[1-3].2021年,全球新增风电装机容量超过90 GW,其中,中国新增装机容量55.92 GW,位列世界第一[4].为了尽可能利用捕获的风能,风力发电机(风机)通常工作在最大功率点跟踪(maximum power point tracking, MPPT)状态,导致风机的出力与电网频率解耦,无法为交流系统提供频率和惯量支撑[5];当系统遭受严重干扰时,可能出现暂态频率越界.2015年,中国锦苏直流发生双极闭锁,在故障发生的12 s后,华东电网频率最低跌至49.56 Hz,系统频率在扰动后越限[6].大规模新能源发电接入为电力系统频率稳定带来新挑战[7].

为改善系统的频率动态特性,国内外电网运行规程要求风力发电具备一定的频率支撑能力.现有方法按照调频的能量来源大体上可分为储能和转子动能两种.文献[8]中提出一种分级协调利用风轮机转子动能和机头换流器直流电容储能的惯量控制策略.类似地,文献[9]中同时利用转子动能和电容储能为岸上系统提供惯量支撑,并通过在岸上换流器上附加功率-电压辅助控制对虚拟惯量控制造成的输出功率降低进行补偿.此外,也有文献研究了风机与电池储能系统协同参与的频率控制策略[10-11].虚拟惯量控制能够有效改善系统的最大频率变化率,对系统频率最低点改善效果有限.为此,文献[12]中结合下垂和虚拟惯量控制,在抑制频率变化率的同时,有效抬升了系统的频率最低点;文献[13]中进一步结合系统频率响应模型,分析评估综合惯量控制下风机能够为系统提供的等值惯量大小.然而,惯量控制通常需要通过最大的频率扰动来选定控制参数,在一般扰动下不能充分利用调频资源.为此,文献[14]中最早提出一种固定附加功率和支撑时间的频率支撑控制,这种方法在功率扰动发生后立刻抬升风机有功出力,并维持一段时间以为系统提供频率支撑.这一方法会造成频率的二次跌落(secondary frequency drop,SFD),不恰当的参数设置可能会导致严重的二次跌落,总体的频率最低点甚至较风机不参与调频时更低.针对这一问题,文献[15]、文献[16-18]中分别通过为各风机设置不同的支撑时间、耦合附加功率参考值与风机转速来平滑风机出力变化,有效抑制了SFD.这类方法需要参数设置适当才能更好地发挥作用,但实际应用时控制参数的选择较为复杂[19].

功率阶跃控制的控制参数优化常依赖于系统不平衡功率估计,国内外学者对不平衡功率估算方法与基于不平衡功率的频率控制策略进行了深入研究.文献[20-21]和[22-23]中分别提出基于广域量测信息和本地频率信息的不平衡功率估计方法.随着电力系统不平衡功率估计技术的发展,大量学者对频率控制参数优化设计进行了深入研究.文献[24]中指出,存在一对最佳的附加功率和支撑时间使得频率最低点最高.在此基础上,文献[25-26]中利用风轮动能,提出一种基于阶跃惯量控制的控制策略,能够平衡两次频率下跌,使得整个暂态过程中的频率最低点最高.文献[10]中进一步将该方法拓展到协调多风机调频的场景下.然而,现有方法均是在固定支撑时间的基础上优化功率阶跃量.事实上,对于风机,其可释放能量(即风轮转子动能)而非支撑时间恒定,因此固定支撑时间的控制策略可能无法充分利用调频资源,在低风速条件下频率支撑效果欠佳.

针对该问题,首先分析功率阶跃控制下系统的频率响应,推导两次频率下跌最低点的解析表达式,分析两次频率最低点深度的影响因素,并以提升频率最低点为目标,通过求解非线性方程组给出一种最优附加功率和支撑时间的计算方法.相比现有方法,所提方法同时优化了附加功率和支撑时间,风机在阶跃控制下应用优化后的支撑时间和附加功率时能有效平衡两次频率跌落深度.

1 功率阶跃控制下的系统频率响应

1.1 频率动态模型

系统频率响应(system frequency response, SFR)模型,最早由Anderson等[27]提出.该模型将多机系统频率响应聚合等效为阶数较低的单台调速器响应,从而简化系统频率分析和频率控制器设计,在电力系统频率分析中应用广泛[13,19,28-29].简化SFR模型进一步忽略两个很小的时间常数[27],在机电暂态尺度仍具有较高的计算精度,该模型的传递函数可表示为

Δf(s)= 12Hs+D(ΔPm(s)-ΔPe(s))
ΔP m(s)=- 1R1+FHTRs1+TRsΔf(s)

式中:Δf为系统频率变化量;s为拉普拉斯变换后复频域上的变量;ΔPm、ΔPe分别为聚合系统的机械功率和电磁功率变化量;HDR分别为系统惯量、阻尼和调差系数;FHTR分别为高压汽轮机系数和再热器时间常数.考虑到D一般可以忽略,结合式(1)中的两个方程可得频率变化量与电磁功率变化量间的传递函数为

Δf(s)= 1+TRs2HTRs2+2ξωns+ωn2ΔPe(s)
ω n= 12HRTR, ξ= 2HR+FHTR22HRTR

式中:ωnξ分别为该模型单位阶跃响应的自然振荡频率和阻尼比.假设系统在受扰前处在稳态,当系统电磁功率发生阶跃变化时,可以通过拉普拉斯逆变换求得系统频率的时域表达式:

$\begin{array}{l} \begin{array}{l} \Delta f(t)=-P_{\mathrm{d}} R\left(1+a \mathrm{e}^{-\xi \omega_{\mathrm{n}} t} \sin \left(\omega_{\mathrm{d}} t+\varphi_{1}\right)\right)= \\ \quad-P_{\mathrm{d}} h(t) \end{array} \\ a=\sqrt{\frac{1-2 T_{\mathrm{R}} \xi \omega_{\mathrm{n}}+\omega_{\mathrm{n}}^{2} T_{\mathrm{R}}^{2}}{1-\xi^{2}}} \\ \varphi_{1}=\arctan \left(\frac{\sqrt{1-\xi^{2}}}{\xi-\omega_{\mathrm{n}} T_{\mathrm{R}}}\right), \quad \omega_{\mathrm{d}}=\omega_{\mathrm{n}} \sqrt{1-\xi^{2}} \end{array}$

式中:Pd为不平衡功率大小;ωd为阻尼振荡频率;h(t)为单位阶跃响应;t为时间.根据式(3),以Pd>0即系统存在有功功率缺额为例,系统频率将先下跌,在达到频率最低点后开始回升,经减幅振荡后达到稳态.

1.2 功率阶跃控制下系统频率变化过程

功率阶跃控制的原理是在侦测到频率发生跌落后立即增加风机的有功出力,为系统提供频率支撑;在设定的支撑时间结束后,降低风机的有功出力,以恢复风机转速到初始状态.如图1所示,功率阶跃控制可以看作是在原来的功率参考值上附加一个时变的功率.图中:Padd为附加功率,上标p.u.表示标幺值;PstepPback分别为支撑阶段和返回阶段的附加功率;tenτ分别为控制器动作时刻和支撑时间;E为可释放的能量大小.

图1

图1   附加功率示意图

Fig.1   Diagram of additional power


由于电力电子换流器具有快调特性,可以认为换流器型电源向电网注入的有功功率等于有功参考值,在功率阶跃控制下,风机注入电网的有功功率可表示为

P=P0+Padd=P0+ Pstep,tent<ten+τ-Pback,tten+τ0,t<ten

式中:P0为初始功率.在本文中ten可近似认为是不平衡功率估计所需要的时间.相应地,功率阶跃控制下电磁功率变化量的动态过程可表示为

ΔPe(t)=Pdu(t)-Pstepu(t-ten)+ (Pstep+Pback)u(t-ten-τ)

式中:u( )为单位阶跃函数.

根据叠加原理,系统频率的时域表达式可表示为多个阶跃响应的线性组合:

Δf(t)=-Pdh(t)u(t)+Psteph(t-ten)u(t-ten)-(Pstep+Pback)h(t-ten-τu(t-ten-τ)

由于ten一般较小,简化分析起见,可以忽略功率阶跃控制的启动时间,则(5)可简化为

ΔPe(t)=(Pd-Pstep)u(t)+(Pstep+Pback)u(t-ten-τ)

对应地,式(6)可重写为

Δf(t)=-(Pd-Pstep)h(t)u(t)- (Pstep+Pback)h(t-ten-τ)u(t-ten-τ)

式(8)可以被分为两个部分:

$\begin{aligned} \Delta f_{\text {part1 }}(t)= & -\left(P_{\mathrm{d}}-P_{\text {step }}\right) h(t) u(t) \\ \Delta f_{\text {part2 }}(t)= & -\left(P_{\text {step }}+P_{\text {back }}\right) h\left(t-t_{\mathrm{en}}-\tau\right) \\ & u\left(t-t_{\mathrm{en}}-\tau\right) \end{aligned}$

图2ten=0.3 s时,系统频率的解析表达和数值计算结果.可以看出,系统频率在支撑结束后出现二次跌落,暂态过程中存在两个频率最低点.频率二次下跌是功率阶跃控制的典型特征.此外,简化后的解析表达和数值计算结果非常接近,验证了简化模型的准确性.

图2

图2   解析表达验证

Fig.2   Validation of analytical expression


1.3 频率最低点的解析表达及影响因素

首先,推导第一个频率最低点的解析表达.考虑到第一个频率最低点出现在支撑结束之前,式(8)中第二部分保持为0.令式(8)中第一部分对时间的导数为0,以获得第一个频率最低点出现的时刻:

$\begin{array}{l} \frac{\mathrm{d} \Delta f_{\text {part1 }}(t)}{\mathrm{d} t}=\left(P_{\mathrm{d}}-P_{\text {step }}\right) \omega_{\mathrm{n}} R a \mathrm{e}^{-\xi \omega_{\mathrm{n}} t} \times \\ \sin \left(\omega_{\mathrm{d}} t+\varphi_{1}+\varphi_{2}\right)=0 \\ \varphi_{2}=\arctan \frac{-\sqrt{1-\xi^{2}}}{\xi} \end{array}$

根据式(9)可知第一个频率最低点出现的时间为

tn1= -φ1-φ2ωd

代入(8)中可得第一个频率最低点频率偏差:

Δfn1=-(Pd-Pstep)R(1+ e-ξωntn11-2TRξωn+ωn2TR2)

从式(11)可以看出,第一个频率最低点的频率偏差与支撑阶段的功率阶跃量线性相关,功率阶跃量越大,第一个频率最低点越高.

当第二个频率最低点出现时,式(8)第二部分不为0.类似地,令式(8)对时间的导数为0:

$\begin{array}{l} \frac{\mathrm{d} \Delta f(t)}{\mathrm{d} t}=\omega_{\mathrm{n}} R a \mathrm{e}^{-\xi \omega_{\mathrm{n}} t}(A \sin B-C \cos B)=0 \\ A=P_{\mathrm{d}}-P_{\text {step }}+\left(P_{\text {step }}+P_{\text {back }}\right) \mathrm{e}^{\hat{\xi} \omega_{\mathrm{n}}\left(t_{\mathrm{en}}+\tau\right)} \times \\ \quad \cos \omega_{\mathrm{d}}\left(t_{\mathrm{en}}+\tau\right) \\ B=\omega_{\mathrm{d}} t+\varphi_{1}+\varphi_{2} \\ C=\left(P_{\text {step }}+P_{\text {back }}\right) \mathrm{e}^{\hat{\xi} \omega_{\mathrm{n}}\left(t_{\mathrm{en}}+\tau\right)} \sin \omega_{\mathrm{d}}\left(t_{\mathrm{en}}+\tau\right) \end{array}$

考虑到A一般不等于0,式(12)等价于

dΔf(t)dt=0⇔Asin B-Ccos B=0⇔ B=arctan(C/A)+kπ

根据式(13),第二个频率最低点出现时间为

tn2= -φ1-φ2+arctan(C/A)+kπωd

考虑到二个频率最低点出现时,支撑阶段结束,即tn2>ten+τ.式(14)中k取使得第二个频率最低点出现时间大于支撑结束时间的最小正整数,即

k=min(k∈Z|tn2>ten+τ)

将式(15)代入式(8)中可得第二个频率最低点频率偏差:

Δfn2f(tn2)

图3为附加功率固定、不平衡功率Pd变化时的频率最低点;图4为不平衡功率固定、支撑阶段附加功率Pstep变化、释放能量不变时的频率最低点.

图3

图3   不平衡功率变化时的频率最低点

Fig.3   Frequency nadirs at different sizes of power imbalance


图4

图4   附加功率变化时的频率最低点

Fig.4   Frequency nadirs at different sizes of additional power


图3可见,两频率最低点随着不平衡功率的增加而降低.由图4可见,固定扰动与调频能量、设置不同附加功率也会影响两个频率最低点:第一个频率最低点随附加功率的增大而上升;第二个频率最低点随附加功率的增大而降低,且存在某一附加功率,使得两个频率最低点相等,此时整个频率动态过程中的频率最低点最高.从上述分析可知,两个频率最低点及其出现时间与不平衡功率和附加功率控制参数密切相关.此外,频率最低点的深度也与系统整体惯量水平等因素相关,因篇幅限制不作具体分析.

在释放能量一定的情况下,结合式(11)、式(16),通过引入能量-功率时间关系建立下列二元非线性方程组:

Δfn1(tn1, Pstep)=Δfn2(tn2, τ, Pstep, Pback)E=τPstep

式中:通过迭代法求解式(17)即可获得最佳的功率阶跃量和支撑时间,两个未知数τPstep的初值可以根据第一个频率最低点出现的时间设置.以信赖域算法为例,式(17)的平均求解时间仅为不到2 ms.将式(17)的解记为相关参数的函数:

Pstep=ϕ(E, Pd, Pback)

应用上述功率阶跃量时,系统的最大频率变化率为

RRoCoFm=(Pd-Pstep)ωnRasin(φ1+φ2)

相比于无附加控制时,最大频率变化率降低的比例为

RRoCoFm0-RRoCoFmRRoCoFm0=PstepPd

式中:RRoCoFm0为无附加控制时的最大频率变化率,该控制对系统的最大频率变化率也有较好的改善作用.

2 基于能量的协同功率阶跃控制策略

2.1 风机参与调频的基本控制策略

图5为基于永磁同步发电机(permanent magnet synchronous generator, PMSG)的风机基本拓扑示意图,PMSG经过全功率背靠背换流器与交流系统相连.机侧换流器(machine-side converter,MSC)控制有功功率以实现MPPT,网侧换流器(grid-side converter,GSC)控制直流母线电压恒定.图中:Pref为风机的功率参考值;vgig分别为机侧电压和电流;mabc为三项调制比;vdc为直流侧电压;vsis分别为网侧电压和电流;XsXT分别为换流电抗器和变压器的阻抗;ωr为风轮机转速.

图5

图5   风机基本控制策略示意图

Fig.5   Basic control strategy of wind turbine generator


为了改善交流系统的频率稳定性,在功率外环上附加虚拟惯量控制,使得风机可为受端系统提供支撑.风机的功率参考值具体可以写为

Pref=kgωr3+KdroopΔf+KindΔfdt

式中:kg为风机的MPPT系数;KdroopKin分别为下垂和虚拟惯量系数.为防止风机过度减速,下垂和虚拟惯量系数的选择需要较为保守,限制了风机转子动能的释放,无法充分利用风机的调频能力.

与此不同,功率阶跃控制能够释放指定的转子动能,较为充分地利用风机的调频能力.文献[24]、[26]中给出在固定支撑时间的条件下,计算平衡两次频率最低点功率阶跃量的方法.其中,支撑时间与系统的阻尼振荡频率有关:

τ= πωd

风机的最佳功率阶跃量与风机参数相关:

Popt= 2HWTPmax3kgωr0τ

式中:HWTPmaxωr0分别为风机惯量、结束支撑时的最大功率变化量和初始转速.为了避免风机过度减速,这一过程中释放的能量需要小于可释放的最大转子动能.功率阶跃量的最大值为

Pf,max= 2HWT(ωr02-ωlim2)2τ+3kgωr02HWTτ2

式中:ωlim为风机转速下限.为保证风机的安全运行,实际功率阶跃量取上述两者的较小值,即

Pstep=min{Popt, Pf,max}

在一般情况下,实际功率阶跃量为最佳功率阶跃量,第一个频率最低点和第二个频率最低点相等,总的频率最低点最高.然而,当风机可释放转子动能较少时,功率阶跃量被式(24)限制,导致两个频率最低点无法平衡,频率最低点提升效果有限.这时需要通过改变预定的支撑时间来平衡两频率最低点.

2.2 基于能量分配的变支撑时间功率阶跃控制策略

基于前述分析,功率阶跃量和支撑时间的选择十分重要.通常情况下风场内风机数量众多,并且运行状态存在差异;可释放的转子动能不尽相同.如何有效协同多个风机最大化提升受端系统的频率稳定性成为难点.

在转速约束限制下,各风机能够释放的最大转子动能为

Ei=HWTi(ωr0i2- ωlim2), i∈{1, 2, …, n}

式中:HWTi为第i台风机惯量;ωr0i为第i台风机的初始转速.定义释放的总能量和第i台风机的比例系数分别为

Etotal=i=1nEiηi=EiEtotal

根据式(27)获得的总能量求解式(18),可得支撑阶段的总附加功率:

Ptotal=ϕ(Etotal, Pd, i=1nPbacki)

式中:Pbacki为恢复第i台风轮机转速到初始状态时的附加功率,即结束支撑时的功率下调量.Pbacki可根据最低转速处的机械功率合理设置,以使风机快速返回初始运行状态.

在计算得到整体的附加功率和支撑时间后,根据各风机可释放能量的占比计算各风机的附加功率,使得预期的总体附加功率被各风机分摊.综合式(4)、式(27)、式(28),可得:

Paddi= ηiPtotal,ten<t<ten+τ-Pbacki,ten+τ<t<ten+τ+EiPbacki0,

应用式(29)时,先利用式(27)计算风机释放的总能量和各自的比例,再统一考虑所有参与频率支撑的风机,计算式(28)得到总体的附加功率Ptotal;再根据各台风机可释放转子动能的占比ηi得到各自的附加功率参考值.此外,为了防止转速越限,在转速下降达到设置的预定值时立即结束支撑,降低有功出力以使得风机转速恢复到初始状态.

3 仿真验证

为验证所提控制的有效性,在MATLAB/Simulink上搭建如图6所示的测试系统,其中换流器开关采用理想开关模型,忽略全控型器件的动态过程.测试系统的相关参数如表1所示.

图6

图6   测试系统单母线模型

Fig.6   Single bus model of test system


表1   测试系统相关参数

Tab.1  Relevant parameters of test system

参数数值
基准容量,SB/(MV·A)0.96
额定频率,fN/Hz50
交流系统额定电压,UN/kV10
原始负荷有功大小/MW10
系统总惯量,Hp.u.80
R/%0.67
再热器时间常数,TR/s8
高压汽轮机系数,FH0.3
风轮机惯量,HWTp.u.4.25
风机机头换流器额定电压,Udcn/kV2
风机换流器直流侧等效电容,Cdc/μF80000

新窗口打开| 下载CSV


3.1 算例1

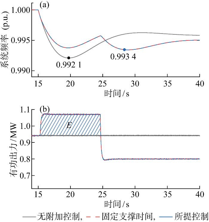
t=15 s时将0.6 MW可变负荷投入,以模拟功率不平衡.在2#风机MSC上附加不同的控制策略以为交流系统提供频率支撑.图7所示为风速11 m/s、应用不同控制方式时交流系统的频率响应和2#风机的注入功率.由图7(a)中可见,在风速较高时两种方法均能平衡两次频率下跌.附加控制和无附加控制的情况下频率最低点的标幺值分别为 0.992 1、0.993 4,所提控制有效地提升了频率最低点.由图7(b)可见,所提控制在发生频率事件后暂时提升了注入系统的有功功率以为受端系统提供频率支撑,并在释放一定转子动能后降低了注入功率,使得风机返回初始运行状态.

图7

图7   高风速条件下的仿真结果

Fig.7   Simulation results under high wind conditions


图8所示为低风速条件下应用不同控制方式时交流系统的频率响应和2#风机的注入功率.当风速为9 m/s时,风机的初始转速较低;风机可以被释放的动能较小.如图8(b)所示,采用固定支撑时间的控制策略时,功率阶跃量大小被限制到较低水平以防止风机过度减速,而所提控制策略用较短支撑时间换取了更高的功率阶跃量.因此,定支撑时间的控制在较恶劣情况下无法很好地平衡两次频率下跌,如图8(a)所示.3种情况下频率最低点的标幺值分别为 0.992 1、0.992 9和 0.993 3.与恒定支撑时间的策略相比,所提策略对频率最低点提升约50%.图9为该情景下2#风机的转速.相比于固定支撑时间的控制策略,所提策略在释放的转子动能类似的情况下,支撑时间较短,转子动能释放的速度更快.

图8

图8   低风速条件下的仿真结果

Fig.8   Simulation results under low wind conditions


图9

图9   不同控制下的风机转速

Fig.9   Rotor speeds of different control schemes


3.2 算例2

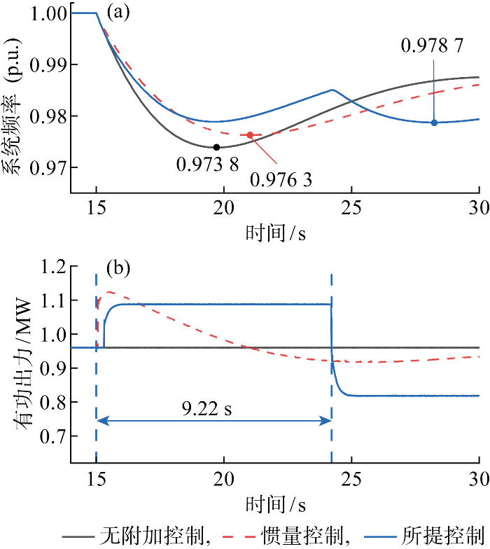
实际情况中系统受到的干扰大小不定,在系统受到的功率扰动大小不同时,所提方法仍能很好地平衡两个频率最低点.分别在1~3#风机上附加所提控制和虚拟惯量控制,图10所示为不同控制方式下投入2 MW可变负荷时的系统频率响应和2#风机的有功出力.如图10(a)所示,3种情况下的系统频率最低点的标幺值分别为 0.973 8、0.976 3和 0.978 7,所提策略对频率最低点提升约96%.与虚拟惯量控制策略相比,所提控制更好地提升了频率最低点.采用虚拟惯量控制时,初始转速不同的3台风机最低转速的标幺值分别为 0.872 8,0.930 8和 0.987 4,未能充分利用可释放的转子动能.如图10(b)所示, 虚拟惯量控制下风机的有功出力先迅速上升,接着随转速的下降迅速下降,最后逐渐稳定到略低于原始出力的水平.与之不同,阶跃控制下的风机在扰动后出力迅速提升并维持一段时间;随后出力下降,转速恢复,整体释放了更多转子动能.

图10

图10   投入2 MW可变负荷时的仿真结果

Fig.10   Simulation results after switching on a 2 MW load


投入2.5 MW可变负荷时系统频率响应和2#风机的有功功率如图11所示.由图11(a)可见在投入可变负载较大的情况下,系统频率跌落更为严重.3种情况下的系统频率最低点标幺值分别为 0.967 5、0.970 3和 0.972 7,所提策略对频率最低点提升约85%.相较于图10,由图11(b)可见,在不平衡功率水平较高的情况下,支撑时间从约9.2 s下降到约7.4 s,所提方法用更短的支撑时间换取更高的有功出力提升,从而保证在不同情况下均能最大程度地提升总体频率最低点.

图11

图11   投入2.5 MW可变负荷时的仿真结果

Fig.11   Simulation results after switching on a 2.5 MW load


4 结论

量化分析功率阶跃控制的控制参数对频率最低点的影响,提出适用于基于可释放能量的多风机协同频率支撑协同控制策略,主要结论如下:

(1) 功率阶跃控制的控制参数对两个频率最低点的深度影响很大.不恰当的参数设置可能导致频率支撑效果不佳,无法充分利用风机的调频能力.

(2) 所提方法同时优化了支撑时间和功率阶跃量.相比现有方法,能在不同条件下平衡系统频率的两次下跌,有效提升频率最低点.

(3) 所提方法基于各台风机的可释放能量实现了功率阶跃量的协同分配,能够充分利用风机的频率支撑能力.

最后,利用数值仿真验证了所提方法的有效性.在后续工作中,将进一步提升本文工作在高水力发电占比系统的适应性,并着力设计分布式控制策略.

参考文献

迟永宁, 梁伟, 张占奎, .

大规模海上风电输电与并网关键技术研究综述

[J]. 中国电机工程学报, 2016, 36(14): 3758-3770.

[本文引用: 1]

CHI Yongning, LIANG Wei, ZHANG Zhankui, et al.

An overview on key technologies regarding power transmission and grid integration of large scale offshore wind power

[J]. Proceedings of the CSEE, 2016, 36(14): 3758-3770.

[本文引用: 1]

符杨, 丁枳尹, 米阳.

计及储能调节的时滞互联电力系统频率控制

[J]. 上海交通大学学报, 2022, 56(9): 1128-1138.

DOI:10.16183/j.cnki.jsjtu.2022.145     

针对互联电力系统中源荷不确定以及通信延时导致系统频率偏差过大的问题,提出了计及储能调节的两域时滞电力系统频率控制策略.建立了含汽轮发电机、风机和储能等设备的两区域时滞互联电网模型,根据区域控制偏差(ACE) 所在的区间对储能装置和汽轮发电机的调频任务进行分工.利用改进粒子群(MPSO)算法优化比例积分微分(PID)负荷频率控制器实现二次调频,提升了一定时滞区间内负荷频率控制(LFC)系统的频率稳定性.对储能装置设计分数阶PID(FOPID)控制器,调节其输出功率以平滑源荷波动,提高了储能系统的辅助调频性能,进一步控制互联电力系统的频率偏差.在MATLAB/Simulink平台对不同工况进行对比分析,验证了所提频率控制策略的有效性.

FU Yang, DING Zhiyin, MI Yang.

Frequency control strategy for interconnected power systems with time delay considering optimal energy storage regulation

[J]. Journal of Shanghai Jiao Tong University, 2022, 56(9): 1128-1138.

李世春, 宋秋爽, 薛臻瑶, .

含风电虚拟惯性响应的新能源电力系统惯量估计

[J]. 电力工程技术, 2023, 42(2): 84-93.

[本文引用: 1]

LI Shichun, SONG Qiushuang, XUE Zhenyao, et al.

Inertia estimation of new energy power system with virtual inertia response of wind power

[J]. Electric Power Engineering Technology, 2023, 42(2): 84-93.

[本文引用: 1]

夏云峰.

2021年全球新增风电装机93.6 GW

[J]. 风能, 2022(6): 38-43.

[本文引用: 1]

XIA Yunfeng.

In 2021, the installed capacity of new wind power in the world was 93.6 GW

[J]. Wind Energy, 2022(6): 38-43.

[本文引用: 1]

李兴源, 曾琦, 王渝红, .

柔性直流输电系统控制研究综述

[J]. 高电压技术, 2016, 42(10): 3025-3037.

[本文引用: 1]

LI Xingyuan, ZENG Qi, WANG Yuhong, et al.

Control strategies of voltage source converter based direct current transmission system

[J]. High Voltage Engineering, 2016, 42(10): 3025-3037.

[本文引用: 1]

李兆伟, 吴雪莲, 庄侃沁, .

“9·19” 锦苏直流双极闭锁事故华东电网频率特性分析及思考

[J]. 电力系统自动化, 2017, 41(7): 149-155.

[本文引用: 1]

LI Zhaowei, WU Xuelian, ZHUANG Kanqin, et al.

Analysis and reflection on frequency characteristics of East China grid after bipolar locking of “9·19” Jinping-Sunan DC transmission line

[J]. Automation of Electric Power Systems, 2017, 41(7): 149-155.

[本文引用: 1]

VIDYANANDAN K V, SENROY N.

Primary frequency regulation by deloaded wind turbines using variable droop

[J]. IEEE Transactions on Power Systems, 2013, 28(2): 837-846.

[本文引用: 1]

LI Y J, XU Z, WONG K P.

Advanced control strategies of PMSG-based wind turbines for system inertia support

[J]. IEEE Transactions on Power Systems, 2017, 32(4): 3027-3037.

[本文引用: 1]

闫家铭, 毕天姝, 胥国毅, .

海上风电经VSC-HVDC并网改进频率控制策略

[J]. 华北电力大学学报(自然科学版), 2021, 48(2): 11-19.

[本文引用: 1]

YAN Jiaming, BI Tianshu, XU Guoyi, et al.

An improved frequency control strategy for offshore wind farm connected by VSC-HVDC

[J]. Journal of North China Electric Power University (Natural Science Edition), 2021, 48(2): 11-19.

[本文引用: 1]

BAO W Y, WU Q W, DING L, et al.

A hierarchical inertial control scheme for multiple wind farms with BESSs based on ADMM

[J]. IEEE Transactions on Sustainable Energy, 2021, 12(2): 751-760.

[本文引用: 2]

沈阳武, 宋兴荣, 罗紫韧, .

基于模型预测控制的分布式储能型风力发电场惯性控制策略

[J]. 上海交通大学学报, 2022, 56(10): 1285-1293.

DOI:10.16183/j.cnki.jsjtu.2022.134      [本文引用: 1]

分布式储能型(DES)风力发电机组是解决规模化风力发电接入引起系统频率稳定问题的有效手段.提出一种基于模型预测控制(MPC)的分布式储能型风力发电场惯性控制方法,首先建立分布式储能型风力发电场的线性化预测模型,在此基础上结合MPC控制框架,设计考虑储能损耗成本和风机转子转速均衡变化的MPC惯性控制优化模型和策略,以实现惯量控制期间风力发电机组转子转速的均衡变化.仿真结果表明:所提控制策略可以有效协调分布式储能型风力发电机组中风力发电单元和储能系统单元的有功功率输出,降低储能系统的充放电损耗成本,并保证风力发电场内所有风机转速在惯性控制期间趋于平均,避免由于风机转速下降过度而导致风力发电机组退出调频的问题.分布式储能型风力发电场惯性控制策略有利于提高电网频率稳定性,对保障电网的安全运行具有重要意义.

SHEN Yangwu, SONG Xingrong, LUO Ziren, et al.

Inertial control strategy for wind farm with distributed energy storage system based on model predictive control

[J]. Journal of Shanghai Jiao Tong University, 2022, 56(10): 1285-1293.

[本文引用: 1]

张冠锋, 杨俊友, 孙峰, .

基于虚拟惯量和频率下垂控制的双馈风电机组一次调频策略

[J]. 电工技术学报, 2017, 32(22): 225-232.

[本文引用: 1]

ZHANG Guanfeng, YANG Junyou, SUN Feng, et al.

Primary frequency regulation strategy of DFIG based on virtual inertia and frequency droop control

[J]. Transactions of China Electrotechnical Society, 2017, 32(22): 225-232.

[本文引用: 1]

周涛, 黄菊, 韩汝帅, .

综合惯性控制下风力机惯性支撑能力分析及等效惯量评估

[J]. 上海交通大学学报, 2024, 58(12): 1915-1924.

DOI:10.16183/j.cnki.jsjtu.2023.161      [本文引用: 2]

针对可再生能源高占比并网所引发的新型电力系统频率安全问题,风电机组多采用综合惯性控制为电力系统提供惯量及一次调频支撑.为更好地把握系统的惯量安全水平,保障电网频率稳定,首先对采用综合惯性控制的风电机组进行动态建模,根据风力机蕴含的动能及其对电网提供的频率支撑推导出风力机的有效惯量.然后,建立综合惯性控制下包含风力机的系统频率响应模型,得到风力机调频过程中有效惯性时间常数的解析式并进行惯性支撑能力分析.根据“等面积原理”推导出综合惯性控制下风力机参与调频过程的等效惯量评估方法,该方法能够对风力机提供的惯性支撑能力进行分析并给出量化结果.最后,通过算例分析验证了所提方法的有效性和可行性,并分析了不同因素对风力机等效惯量的影响.

ZHOU Tao, HUANG Ju, HAN Rushuai, et al.

Inertial support capacity analysis and equivalent inertia estimation of wind turbines in integrated inertial control

[J]. Journal of Shanghai Jiao Tong University, 2024, 58(12): 1915-1924.

[本文引用: 2]

ULLAH N R, THIRINGER T, KARLSSON D.

Temporary primary frequency control support by variable speed wind turbines—Potential and applications

[J]. IEEE Transactions on Power Systems, 2008, 23(2): 601-612.

[本文引用: 1]

GARMROODI M, VERBIČ G, HILL D J.

Frequency support from wind turbine generators with a time-variable droop characteristic

[J]. IEEE Transactions on Sustainable Energy, 2018, 9(2): 676-684.

[本文引用: 1]

KANG M, KIM K, MULJADI E, et al.

Frequency control support of a doubly-fed induction generator based on the torque limit

[J]. IEEE Transactions on Power Systems, 2016, 31(6): 4575-4583.

[本文引用: 1]

YANG D J, KIM J, KANG Y C, et al.

Temporary frequency support of a DFIG for high wind power penetration

[J]. IEEE Transactions on Power Systems, 2018, 33(3): 3428-3437.

KHESHTI M, LIN S Y, ZHAO X W, et al.

Gaussian distribution-based inertial control of wind turbine generators for fast frequency response in low inertia systems

[J]. IEEE Transactions on Sustainable Energy, 2022, 13(3): 1641-1653.

[本文引用: 1]

汪梦军, 郭剑波, 马士聪, .

新能源电力系统暂态频率稳定分析与调频控制方法综述

[J]. 中国电机工程学报, 2023, 43(5): 1672-1693.

[本文引用: 2]

WANG Mengjun, GUO Jianbo, MA Shicong, et al.

Review of transient frequency stability analysis and frequency regulation control methods for renewable power systems

[J]. Proceedings of the CSEE, 2023, 43(5): 1672-1693.

[本文引用: 2]

MILANO F.

Rotor speed-free estimation of the frequency of the center of inertia

[J]. IEEE Transactions on Power Systems, 2018, 33(1): 1153-1155.

[本文引用: 1]

SHAMS N, WALL P, TERZIJA V.

Active power imbalance detection, size and location estimation using limited PMU measurements

[J]. IEEE Transactions on Power Systems, 2019, 34(2): 1362-1372.

[本文引用: 1]

AZIZI S, SUN M Y, LIU G Y, et al.

Local frequency-based estimation of the rate of change of frequency of the center of inertia

[J]. IEEE Transactions on Power Systems, 2020, 35(6): 4948-4951.

[本文引用: 1]

刘克天, 张钧, 李军, .

基于频率偏移面积的功率缺额计算及低频减载整定

[J]. 电工技术学报, 2021, 36(5): 1040-1051.

[本文引用: 1]

LIU Ketian, ZHANG Jun, LI Jun, et al.

Power deficit calculation and under frequency load shedding strategy based on the frequency deviation area

[J]. Transactions of China Electrotechnical Society, 2021, 36(5): 1040-1051.

[本文引用: 1]

KHESHTI M, DING L, NAYERIPOUR M, et al.

Active power support of wind turbines for grid frequency events using a reliable power reference scheme

[J]. Renewable Energy, 2019, 139: 1241-1254.

[本文引用: 2]

BAO W Y, DING L, LIU Z F, et al.

Analytically derived fixed termination time for stepwise inertial control of wind turbines: Part I: Analytical derivation

[J]. International Journal of Electrical Power & Energy Systems, 2020, 121: 106120.

[本文引用: 1]

GUO Y C, BAO W Y, DING L, et al.

Analytically derived fixed termination time for stepwise inertial control of wind turbines: Part II: Application strategy

[J]. International Journal of Electrical Power & Energy Systems, 2020, 121: 106106.

[本文引用: 2]

ANDERSON P M, MIRHEYDAR M.

A low-order system frequency response model

[J]. IEEE Transactions on Power Systems, 1990, 5(3): 720-729.

[本文引用: 2]

王一振, 邱逢良, 雷鸣, .

含大容量新能源接入的柔性直流背靠背分区互联系统频率支撑策略研究

[J]. 电网技术, 2023, 47(3): 959-967.

[本文引用: 1]

WANG Yizhen, QIU Fengliang, LEI Ming, et al.

Frequency support strategy for VSC-BTB based DC segmented system with large capacity renewable energy integration

[J]. Power System Technology, 2023, 47(3): 959-967.

[本文引用: 1]

王路平, 谢小荣, 刘颖, .

多直流馈入受端电网短期频率稳定性的实时协调控制方法

[J]. 中国电机工程学报, 2018, 38(8): 2205-2212.

[本文引用: 1]

WANG Luping, XIE Xiaorong, LIU Ying, et al.

Real-time coordinated control of short-term frequency stability for the receiving-end systems with multi-infeed HVDC transmissions

[J]. Proceedings of the CSEE, 2018, 38(8): 2205-2212.

[本文引用: 1]

/