功率阶跃控制下系统频率最低点量化与提升方法 |
| 伍双喜, 李文博, 秦颖婕, 闫斌杰, 李佳朋, 李宇骏 |
|
Quantization and Enhancement of System Frequency Nadir in Power Step Control |
| WU Shuangxi, LI Wenbo, QIN Yingjie, YAN Binjie, LI Jiapeng, LI Yujun |
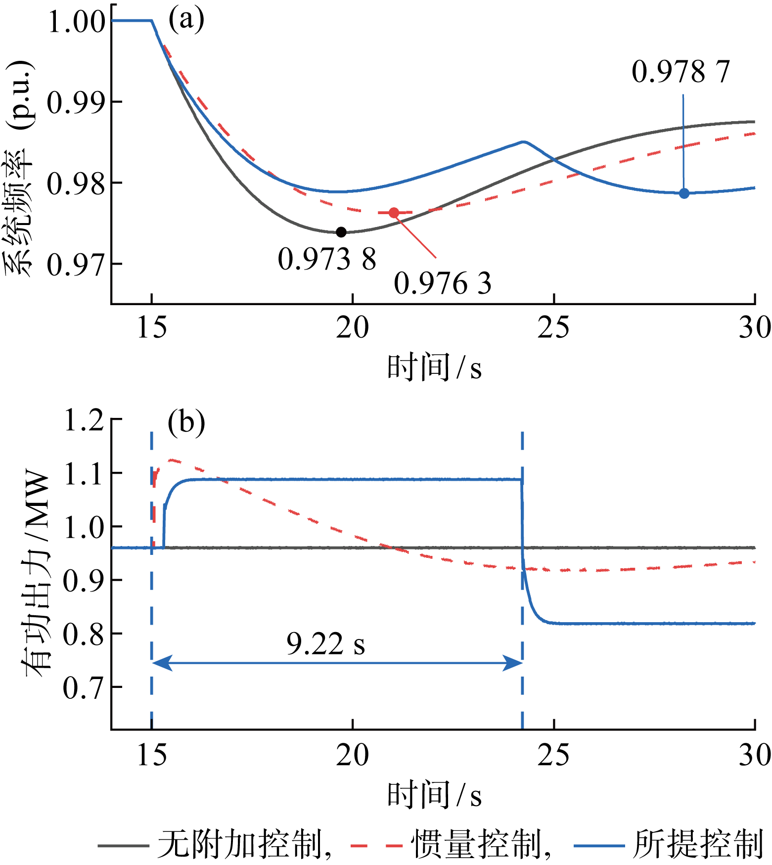
| 图10 投入2 MW可变负荷时的仿真结果 |
| Fig.10 Simulation results after switching on a 2 MW load |
|