功率阶跃控制下系统频率最低点量化与提升方法 |
| 伍双喜, 李文博, 秦颖婕, 闫斌杰, 李佳朋, 李宇骏 |
|
Quantization and Enhancement of System Frequency Nadir in Power Step Control |
| WU Shuangxi, LI Wenbo, QIN Yingjie, YAN Binjie, LI Jiapeng, LI Yujun |
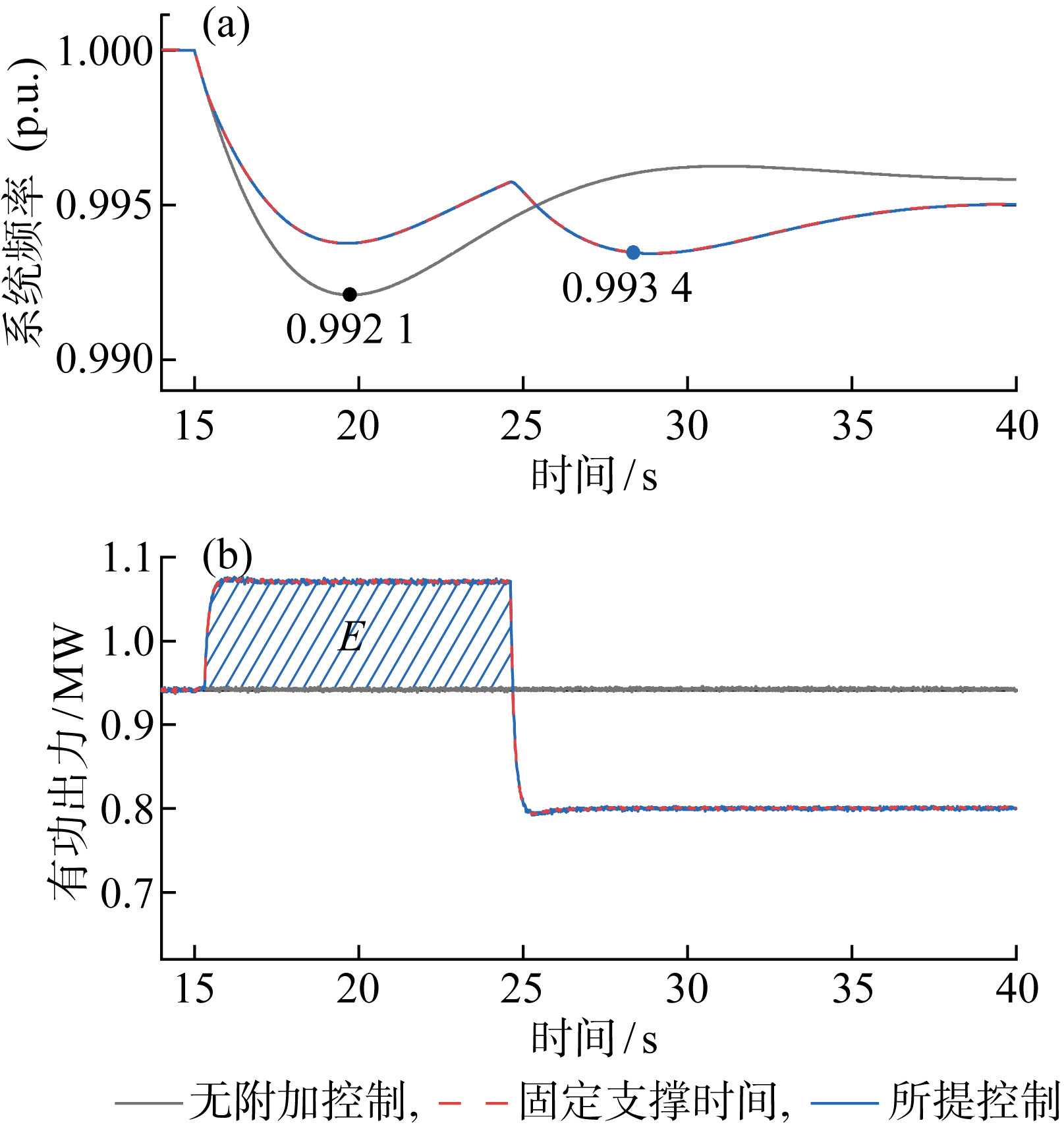
| 图7 高风速条件下的仿真结果 |
| Fig.7 Simulation results under high wind conditions |
|