低压配电系统剩余电流保护与重合闸逻辑组合优化方法
Optimization Method for Combination of Residual Current Protection and Coincidence Brake Logic in a Low-Voltage Distribution System
通讯作者: 张腾飞,教授,博士生导师;E-mail:tfzhang@126.com.
责任编辑: 王历历
收稿日期: 2023-09-1 修回日期: 2023-10-26 接受日期: 2023-12-26
| 基金资助: |
|
Received: 2023-09-1 Revised: 2023-10-26 Accepted: 2023-12-26
作者简介 About authors
徐寒(1999—),硕士生,从事低压配电网保护研究.
低压配电系统触漏电事故频发,但生物体触电与三相不平衡等非正常运行状态下的故障特征难以区分,导致现有剩余电流保护装置无法正常工作,低压配电系统供电安全性与供电连续性难以兼顾.为此,提出一种剩余电流保护与重合闸逻辑组合优化方法,用于处理低压配电系统触漏电事故引起的接地故障.首先,在入户变压器低压侧同时装设剩余电流保护装置和自动重合闸,当检测到故障相剩余电流过阈值后,瞬时跳开断路器以优先保障供电安全性;其次,提取剩余电流信号的鲁棒经验模态分解近似熵特征值和固有模态时域特征值,建立过阈值状态识别神经网络;最后,基于该神经网络模型对生物体触电状态和三相不平衡状态进行有效区分,优化剩余电流保护定值整定算法和自动重合闸的动作逻辑以兼顾供电连续性.仿真分析表明:该模型迭代7次后的分类结果均方误差仅为9.49×10-9,相关系数达到0.99,验证了所提故障处理方法的可行性.
关键词:
Low-voltage distribution systems frequently experience leakage current accidents. However, it is challenging to distinguish fault characteristics in abnormal operating conditions, such as electric shock to biological organisms and three-phase imbalance, which leads to the improper operation of existing residual current protection devices, making it difficult to balance both the safety and continuity of power supply in low-voltage distribution systems. Therefore, an optimization method is proposed for combination of the residual current protection and the coincidence reclosing logic to address the ground fault caused by the leakage of the low-voltage distribution system. First, the residual current protection device and the automatic reclosing switch are installed in the low-voltage side outlet of the transformer. When the over-threshold residual current of the fault phase is detected, the instantaneous skip circuit breaker is used to ensure the safety of the power supply. Then, the robust empirical mode decomposition-approximate entropy value and the intrinsic mode function-time domain eigenvalue of the residual current signal are extracted, followed by the establishment of a genetic algorithm-backpropagation over-threshold status identification neural network. Finally, based on the neural network model, the electrical and three-phase imbalance characteristics are effectively separated. The action logic of the residual current protection value setting algorithm and the automatic coincidence brake is optimized to ensure the continuity of power supply. The simulation analysis shows that the error of the classification results of the model after seven iterations is only 9.49×10-9 with a correlation coefficient of 0.99, confirming the feasibility of the proposed method.
Keywords:
本文引用格式
徐寒, 朱三立, 张腾飞, 陈舒, 刘明祥.
XU Han, ZHU Sanli, ZHANG Tengfei, CHEN Shu, LIU Mingxiang.
据统计,我国电力系统超过85%的触漏电事故发生在低压配电系统[1],导致用户人身安全长期面临严重威胁[2-3].为了降低此类事故的发生率,剩余电流保护装置(residual current protection device, RCD)被广泛应用于低压配电系统[4];同时,为了缩小故障停电范围,RCD采用分级保护,由装设在配电变压器出线支路上的总保、装设在低压干线分支箱或电表箱位置的中保[5],以及装设在入户变压器低压侧出口处的户保组成三级保护.当总保线路发生生物体触电或者用电设备漏电时[6],RCD的电流互感器能够检测到线路中的剩余电流,当电流值超过动作阈值时,RCD执行跳闸[7].针对RCD投运状况的研究发现,目前RCD总保普遍存在误动现象[8],其原因是大负荷突然投切或三相不平衡状态下的短时不平衡电流、谐波等也能被RCD检测到[9-
针对上述矛盾,现有文献主要考虑提取生物体触电特征[14],研发专门针对生物体触电的RCD.韩晓慧等[15]利用物理触电试验平台获取生物体触电和非生物体触电的剩余电流波形信号,统计其时域、频域特征参数,将特征指标输入给粒子群算法优化的支持向量机,实现不同类型触电事故的识别.王金丽等[16]利用试验平台获得剩余电流,并进行希尔伯特-黄变换(Hilbert-Huang transform,HHT)得到剩余电流的多个固有模态分量(intrinsic mode function,IMF)在时频域上的分布情况,发现高频的IMF分量幅值较小且相关系数较低,低频的IMF幅值较大且相关系数较高;通过观察实验所得Hilbert谱不同样本所得到的频率成分存在一定差异,将这些IMF分量信息转换成能量特征向量作为生物体触电故障分类模型的判断依据.关海鸥等[17]也对剩余电流进行HHT操作,发现在发生生物体触电的时刻,IMF中相关系数最大的分量幅值会发生局部激增,且该IMF分量与原信号的相关系数较高,由此提出基于HHT的生物体触电电流检测模型.李春兰等[18]利用循环功率谱分析获得触电前、后剩余电流信号的循环功率谱三维图,并且定义了4种循环谱特征指标,再利用K均值聚类分析提出触电识别判据.上述研究聚焦触电电流特征提取,但这些特征是否能分区负荷投切或三相负荷不平衡产生的短时不平衡电流与生物体触电时的剩余电流,有待进一步研究.
针对现有研究中存在的不足之处,本文提出剩余电流保护与重合闸逻辑组合优化方法.当剩余电流过阈值后,以最小延迟时间进行一次跳闸,优先保护生物体免受触电事故危害,同时采用自适应重合闸,在判断过阈值状态为生物体触电时闭锁重合闸装置,避免对生物造成二次伤害;在判断过阈值状态为三相不平衡时启动重合闸恢复供电,以保障电网可靠运行.为了准确区分生物体触电与系统三相不平衡状态,利用鲁棒经验模态分解(robust empirical mode decomposition,REMD)分析不同时间尺度下的一次跳闸剩余电流差异,提取REMD近似熵特征值和IMF时域特征值量化此差异,建立基于遗传算法优化的前馈神经网络(genetic algorithm-back propagation neural network,GA-BPNN)的过阈值状态识别模型,明确一次跳闸后剩余电流特征与过阈值状态间的非线性映射关系,并以此作为自适应重合闸判据.所提方法关注过阈值状态跳闸后剩余电流变化的全周期,为解决人身触电事故问题和提高低压配电系统供电安全性、连续性提供了新思路.
1 剩余电流保护与重合闸逻辑组合
1.1 组合策略基本原理
城市低压配电系统主要采用TN-C-S接线形式,剩余电流保护装置主要包括剩余电流检测元件,即电流互感器TA、重合闸闭锁装置ARD、判断元件KA、执行元件(包括断路器QF)、信号继电器KS、时间继电器KT等,图1所示为剩余电流保护与重合闸逻辑组合策略的基本原理.
图1
图1
基于重合闸逻辑组合优化的剩余电流保护方法原理图
Fig.1
Schematic diagram of residual current protection method based on reclosing logic combination optimization
如图1所示,A、B、C三相以及中性线(N线)穿过TA线圈,对配电线路的剩余电流进行实时检测.图中:ISC为短路电流;RSC为生物接地电阻;L1~L3为3条线路.为最大限度保护生物体免受触电事故危害,将Iop设置为人体触电时最大摆脱电流 30 mA.当检测到剩余电流超过设定阈值Iop并且KA判定在指定时间内检测值持续高于阈值时,QF无延时进行一次跳闸,指定时间一般为躲过中保和户保的动作时间.同时,检测元件将剩余电流信号发送到基于神经网络的过阈值状态识别元件.
当线路中没有发生生物体触电或其他接地故障时,通过RCD互感器TA一次侧电路的电流矢量和为0,即
式中:IA、IB、IC分别为A、B、C三条相线的相电流;IN为中性线电流.
电流IA、IB、IC和IN在TA中产生的磁通矢量和为0,因此TA的二次侧线圈没有感应电压输出,RCD不动作,比较继电器KA不动作,其常开触点断开,断路器QF主触头闭合处于送电状态,线路正常供电.当线路中发生生物体触电等故障接地时,故障相通过生物接地电阻RSC与电源侧中性点接地电阻形成回路,产生的短路电流ISC近似等于剩余电流,则通过TA一次侧线圈的矢量和不为0,即
则TA一次侧线圈中产生磁通矢量和不为0,TA二次回路中有感应电压输出,此电压直接或通过信号放大器施加在脱扣线圈上产生工作电流kISC.TA二次回路的感应电压输出随着故障电流的增大而增大,当接地故障电流达到额定值Iop时,比较继电器KA的常开触点闭合;若KA有输出且此时重合闸不被闭锁即闭锁信号输出为1时,过KT后发出一次跳闸命令,QF主触头断开,启动KS发出跳闸信号,过阈值状态识别结果用于控制重合闸闭锁装置;在此情况下,重合闸闭锁装置输出为0,重合闸装置闭锁.
当线路中发生大功率负荷投切造成短时三相不平衡时,线路中会产生不平衡电流,通过TA一次侧线圈的矢量和不等于0, TA二次回路中同样有感应电压输出,此电压直接或通过信号放大器施加在脱扣线圈上,产生工作电流.KA工作,使得QF一次跳闸,若后续基于剩余电流信号特征提取的过阈值识别结果被判定为正常三相不平衡,则重合闸闭锁装置输出为1,重合闸启动,QF常闭触点闭合,线路恢复正常供电,保障电网供电连续性.
1.2 组合策略实施方案
图2所示为剩余电流保护与重合闸逻辑组合策略实施方案,自适应重合闸逻辑组合优化的剩余电流保护方法流程如下:①对配电线路的剩余电流进行实时检测,当检测到剩余电流超过设定阈值时,并且剩余电流保护装置的判别元件判定在5个工频周期内检测值持续高于阈值,则断路器进行一次跳闸;②利用REMD得到一次跳闸后的剩余电流信号获取不同时间尺度的IMF分量,再提取一次跳闸后的剩余电流信号特征指标;③结合GA-BPNN获取过阈值状态分类识别结果;④对于分类识别结果为生物体触电状态的,闭锁重合闸装置,保护生物免受二次触电事故的危害;对于分类识别结果为三相负荷不平衡状态的,启动重合闸恢复供电,保证配电网供电可靠性,同时通过设置二次跳闸延时,剩余电流保护定值按照躲过重合闸时的瞬时冲击电流整定,避免重合闸失败.
图2
图2
基本重合闸逻辑组合优化的剩余电流保护方法流程图
Fig.2
Flow chart of residual current protection method based on reclosing logic combination optimization
如图2所示,为了避免一次跳闸后盲目启动重合闸对电网和生物体造成二次伤害,基于生物体触电和三相不平衡两种情况下断路器一次跳闸后剩余电流特征的差异性分析进行过阈值状态识别.
2 保护定值整定与重合闸动作判据
优化 剩余电流保护定值整定应考虑户内设备是否能够承受重合闸后的瞬时冲击电流,在分析低压配电系统异常剩余电流特征的基础上,提取REMD近似熵和IMF时域特征值,结合神经网络优化保护定值整定计算方法与重合闸动作判据.
2.1 异常剩余电流特征分析
为了分析生物体触电和三相不平衡两种过阈值状态下断路器一次跳闸后剩余电流特征,搭建低压配电系统分合闸动态仿真系统以捕捉断路器分合闸前后的剩余电流信号全周期特征.
2.1.1 生物体触电状态剩余电流特征分析
式中:Rm为Mayr电弧动态电阻;t为时间;τm为电弧时间常数,其表征电弧中能量变化使电弧改变自然底数e倍时所需要的时间;ploss为电弧燃烧耗散功率;E、i'分别为弧柱的电场强度和电弧电流.
图3
综合考虑生物体触电的燃弧特性和高阻特性,将Mayr电弧模型与H.Freiberger人体等效电路串联形成Mayr-HF等值电路来表征过渡电阻,如图3所示,燃弧阶段为从生物体触电发生时刻开始后的两个工频周期,此后为熄弧阶段,此时Mayr电弧模型呈现短路状态.
2.1.2 三相不平衡状态剩余电流特征分析
在低压配电系统模型的基础上,为了仿真三相不平衡状态下剩余电流保护装置检测值过阈值的状态,调整三相负荷、线路阻抗以及漏阻抗的不平衡度获取剩余电流,但相关研究[10]已经发现随着三相漏阻抗、三相线路阻抗的不平衡度增加,剩余电流也在增大,但仍处于一个微安级的较低水平,而一般剩余电流保护器的整定值为30 mA,因此线路阻抗、漏阻抗不平衡均不足以使RCD误动.基于此,本文仅研究三相负荷不平衡产生的不平衡电流对剩余电流检测的影响.定义三相负荷不平衡度如下:
式中:Ip,max、Ip,min分别为A、B、C三相线路上最大相和最小相的相电流有效值.
2.2 剩余电流过阈值状态识别
式中:
为了量化一次跳闸后剩余电流信号特征,采用近似熵可定量描述IMF信号序列的复杂程度,此方法在电力系统故障特征提取中得以应用[25].分别计算IMF分量
分别计算各阶IMF时域特征指标,包括标准差、裕度因子及能量,过程如下:
标准差用于评估IMF信号序列偏离真实值的距离平方和的平均数,即
式中:sj为信号的IMF信号序列采样数据点幅值;N为每个IMF信号序列采样数据点数;s为IMF信号采样值,
裕度因子是IMF信号序列信号峰值与方根幅值的比值,即
能量是IMF信号序列各采样点幅值的平方和,即
此外,由于在进行REMD分解过程中采用软筛选停止准则获取的IMF分量数量是自适应的,所以对应的近似熵特征值、时域特征值维度也是自适应的,并且存在一部分冗余的维度.为了统一特征向量维度,去除冗余的特征指标,提高特征提取效率,利用主成分分析进行自适应降维,将高维的特征向量投影到最大奇异值相对应的向量上,有效地将高维的输入特征向量分解成在数据中最大方差方向上的正交分量,以此产生特征向量的低维表示[26].
为了实现自适应重合闸,需要得到上述提取的特征值与过阈值状态的非线性映射关系,本文利用GA-BPNN构造自适应重合闸判据.
3 算例分析
3.1 剩余电流信号获取
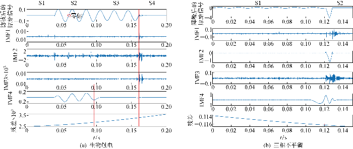
综合考虑生物的个体差异以及触电事故发生的随机性,在不同配电网接地形式下,设置电弧模型、人体阻抗和线路参数,获取80组仿真剩余电流信号,参数设置见表1.图4所示为动态仿真获取的相关剩余电流信号,图4(a)中生物体触电时刻发生在 t=0.04 s;t=0.04~0.09 s 的S2期间生物体触电伴随电弧现象,在过零点时具有零休现象;t=0.09 s 时生物体触电电弧熄灭,t=0.06 s 时断路器发生一次跳闸.利用傅里叶变换技术分析的一次跳闸前剩余电流波形谐波分量如图5所示.从波形形态角度看,由图4(a)可知,在燃弧阶段剩余电流波形存在较强的过零畸变;在熄弧阶段虽然有电容的存在,但人体阻抗基本呈现电阻性,剩余电流波形为稳定的正弦波形,无明显波形畸变,与已有的生物触电现场试验数据波形特征基本吻合.从频域角度看,由图5可知,在燃弧阶段各次谐波含量均维持在6%以下,在熄弧阶段各次谐波含量均维持在3%以下,与已有的生物体触电现场试验数据频域特征基本吻合.
表1 动态仿真参数设置
Tab.1
| 电气设备或模型 | 参数 | 值或调节范围 |
|---|---|---|
| 电源 | 电源电压/kV | 10.5 |
| 变压器 | 一次侧额定电压/kV | 10 |
| 二次侧额定电压/kV | 0.4 | |
| 线路 | 正序电阻/Ω | 0.01273 |
| 零序电阻/Ω | 0.3864 | |
| 电弧模型 | 耗散功率/W | 0.1~1 |
| 时间常数 | 1×10-4~1×10-3 | |
| 人体阻抗模型 | 皮肤电阻/kΩ | 1~100 |
| 皮肤电容/nF | 20 | |
| 生物体内部电阻/Ω | 1000 | |
| 配电线路 | 接线形式 | TN-C |
| TN-S | ||
| TN-C-S |
图4
图5
经过上述特征验证,可将所提生物体触电阻抗模型作为生物体触电仿真模型,以供后续跳闸动态分析.
为保证所提取特征值的有效性,在电源电压以及变压器和线路参数不变的情况下,通过改变三相负荷的有功功率使三相不平衡度在30%~99%之间调整, 其中多组三相负荷设置及各相电流以及剩余电流如表2所示,表中I0为零序电流.动态仿真试验获取三相负荷不平衡运行状态下一次跳闸前后的剩余电流波形,某组参数设置下的结果见图4(b),在t=0 s时刻就存在三相不平衡电流,且剩余电流互感器检测到电流过阈值持续超过5个工频周期,在t=0.12 s 执行一次跳闸.由三相不平衡状态下,线路三相一次跳闸和三相重合闸动态仿真结果发现,在断路器重合闸瞬间,有产生一个瞬间冲击剩余电流的可能性,但冲击电流会迅速衰减至二次跳闸动作阈值以下.仿真验证和理论计算表明,可合理设置二次跳闸延时躲过该瞬间冲击电流,且在延时时间内所产生的能量也不足以对设备造成热击穿, 验证了所提保护方法的合理性.
表2 不同三相不平衡度下各相电流与剩余电流
Tab.2
| 样本序号 | A相负荷/kW | B相负荷/kW | C相负荷/kW | IA/A | IB/A | IC/A | I0/mA | γ/% |
|---|---|---|---|---|---|---|---|---|
| 1 | 2.55 | 2.55 | 0 | 9.96 | 10.03 | 0.068 | 37.41 | 99.36 |
| 2 | 3.40 | 1.28 | 0.43 | 8.08 | 7.13 | 2.760 | 38.81 | 65.89 |
| 3 | 6.80 | 2.55 | 0.85 | 16.06 | 14.21 | 5.470 | 39.15 | 65.95 |
| 4 | 5.95 | 1.70 | 2.25 | 16.22 | 9.87 | 12.390 | 30.33 | 39.19 |
| 5 | 10.20 | 0 | 0 | 26.54 | 0.08 | 0.080 | 75.19 | 70.51 |
| 6 | 7.51 | 2.55 | 0 | 14.94 | 14.91 | 0.071 | 49.53 | 99.53 |
| 7 | 6.00 | 6.00 | 0 | 23.45 | 23.52 | 0.070 | 37.62 | 99.71 |
| 8 | 4.50 | 1.28 | 0.55 | 9.13 | 7.60 | 3.580 | 43.11 | 60.85 |
| 9 | 5.10 | 0 | 0 | 0.26 | 0.08 | 0.080 | 74.82 | 70.46 |
3.2 剩余电流特征提取
图6为对一次跳闸后的剩余电流信号进行REMD分解后各IMF分量的情况.由图可知,在生物体触电情况下,高频IMF分量在一次跳闸时刻出现幅值突增的现象,且其中IMF3分量在生物体触电发生的起始燃弧阶段和熄弧阶段出现幅值增大的现象.在三相不平衡的情况下,各阶IMF分量在一次跳闸前均保持平稳,在一次跳闸时刻出现幅值波动.从波形情况来看,两种不同情况下IMF分量的序列复杂度存在差异.
图6
图6
两种情况下剩余电流信号的各IMF分量
Fig.6
Each IMF component of residual current signal in both cases
对经REMD分解得到的各个IMF计算其近似熵特征向量,计算结果如表3所示.表中:空白表示不适用.定义近似熵比a为次高频IMF分量IMF2近似熵值ApEn2与最高频IMF分量IMF1近似熵值ApEn1的比值.由表可见,生物体触电状态下,a大于或接近于1; 而三相不平衡状态下, a<1.两种不同过阈值状态下REMD近似熵存在差异,但差异特征不够显著仍然不能单独作为特征指标.
表3 不同情况下一次跳闸剩余电流信号REMD近似熵特征值
Tab.3
| 状态 | 样本 编号 | IMF1 | IMF2 | IMF3 | IMF4 | IMF5 | IMF6 | IMF7 | IMF8 | a |
|---|---|---|---|---|---|---|---|---|---|---|
| 生物体触电 | 1 | 3.44×10-4 | 8.17×10-4 | 4.89×10-4 | 1.60×10-4 | 2.92×10-4 | 1.62×10-4 | 1.94×10-4 | 2.375 | |
| 2 | 2.12×10-3 | 1.74×10-3 | 2.11×10-4 | 1.75×10-4 | 1.78×10-4 | 2.40×10-4 | 1.39×10-4 | 0.82 | ||
| 3 | 5.12×10-4 | 9.88×10-4 | 6.53×10-4 | 4.31×10-4 | 1.72×10-4 | 2.43×10-4 | 1.94×10-4 | 1.51×10-4 | 1.93 | |
| … | … | … | … | … | … | … | … | … | ||
| 79 | 1.76×10-3 | 7.82×10-4 | 4.13×10-4 | 3.69×10-4 | 2.19×10-4 | 1.19×10-4 | 1.92×10-4 | 0.84 | ||
| 80 | 1.35×10-3 | 1.26×10-3 | 5.83×10-4 | 4.88×10-4 | 2.90×10-4 | 7.33×10-4 | 1.60×10-4 | 1.95×10-4 | 0.93 | |
| 三相不平衡 | 81 | 2.15×10-3 | 1.94×10-4 | 3.49×10-4 | 2.78×10-4 | 1.01×10-4 | 0.09 | |||
| 82 | 1.97×10-4 | 2.51×10-4 | 2.28×10-4 | 1.68×10-4 | 2.58×10-4 | 2.13×10-4 | 0.47 | |||
| 83 | 2.04×10-3 | 1.17×10-3 | 4.34×10-4 | 3.11×10-4 | 2.08×10-4 | 1.98×10-4 | 0.87 | |||
| … | … | … | … | … | … | … | … | … | ||
| 159 | 2.06×10-3 | 3.46×10-4 | 3.19×10-4 | 2.14×10-4 | 2.17×10-4 | 2.34×10-4 | 0.16 | |||
| 160 | 2.05×10-3 | 3.41×10-4 | 3.22×10-4 | 1.54×10-4 | 2.83×10-4 | 2.54×10-4 | 0.17 |
IMF时域特征指标分析结果如表4所示,生物体触电状态样本为1~80,三相不平衡状态样本为81~160.由表可知,一次跳闸剩余电流信号经REMD分解后得到的各IMF中,三相不平衡情况下的标准差特征值大于生物体触电的情况;且生物体触电情况下裕度因子特征值比三相不平衡情况大1~2个数量级;能量特征值的差异则较为显著.
表4 两种不同情况下IMF时域特征指标
Tab.4
| 样本编号 | IMF | 标准差 | 裕度因子 | 能量值 | 样本编号 | IMF | 标准差 | 裕度因子 | 能量值 |
|---|---|---|---|---|---|---|---|---|---|
| 1 | 1 | 5.32×10-1 | 1.76 | 2.73×104 | 81 | 1 | 4.15 | 8.02×10-1 | 1.03×106 |
| 2 | 1.55×10-1 | 43.1 | 2.41×103 | 2 | 10.22 | 2.07×10-1 | 6.60×106 | ||
| 3 | 3.10×10-1 | 15.4 | 7.69×103 | 3 | 13.44 | 1.73×10-1 | 1.09×107 | ||
| 4 | 1.74×10-1 | 11.1 | 4.84×103 | 4 | 2.73 | 1.54×10-1 | 9.14×105 | ||
| 5 | 8.57×10-2 | 7.85 | 1.10×103 | 5 | 2.81 | 6.12×10-1 | 4.85×105 | ||
| 6 | 3.67×10-2 | 75.4 | 1.18×102 | 6 | 1.38×10-2 | 1.24×10-2 | 13.28 | ||
| 7 | 3.33×10-2 | 50.6 | 92.99 | 7 | |||||
| 8 | 8 | ||||||||
| 2 | 1 | 4.34×10-1 | 2.32 | 1.85×104 | 82 | 1 | 3.09 | 1.04 | 5.76×105 |
| 2 | 1.36×10-1 | 71.8 | 1.69×103 | 2 | 6.28×10-1 | 4.31 | 2.90×104 | ||
| 3 | 1.90×10-1 | 26.11 | 3.09×103 | 3 | 2.11 | 1.52 | 2.71×105 | ||
| 4 | 1.40×10-1 | 17.02 | 1.59×103 | 4 | 2.89 | 8.97×10-1 | 6.90×105 | ||
| 5 | 1.29×10-1 | 15.57 | 2.06×103 | 5 | 6.83×10-1 | 2.85×10-1 | 1.04×106 | ||
| 6 | 3.15×10-2 | 28.87 | 1.41×102 | 6 | 1.97 | 1.47 | 2.37×105 | ||
| 7 | 5.94×10-2 | 29.83 | 2.84×102 | 7 | |||||
| 8 | 2.08×10-2 | 1.27×102 | 37.2 | 8 | |||||
| …… | …… | ||||||||
| 80 | 1 | 9.79×10-2 | 32.74 | 8.82×102 | 160 | 1 | 3.46 | 9.66×10-1 | 7.21×105 |
| 2 | 7.69×10-2 | 63.74 | 5.08×102 | 2 | 8.75×10-1 | 6.6 | 4.64×104 | ||
| 3 | 7.54×10-2 | 1.19×102 | 4.78×102 | 3 | 2.53×10-1 | 9.34 | 3.84×103 | ||
| 4 | 3.76×10-2 | 61.54 | 1.14×102 | 4 | 4.45×10-2 | 43.6 | 1.27×102 | ||
| 5 | 4.65×10-2 | 48.45 | 1.81×102 | 5 | 3.55×10-2 | 57.8 | 82.46 | ||
| 6 | 4.31×10-2 | 41.25 | 3.16×102 | 6 | 1.90×10-3 | 1.40×103 | 2.30×10-1 | ||
| 7 | 5.06×10-3 | 2.69×102 | 3.34 | 7 | |||||
| 8 | 3.37×10-3 | 5.11×102 | 9.28×10-1 | 8 |
因此,将上述两类特征结合起来形成多维特征指标,即利用REMD近似熵相结合IMF时域特征指标可以有效描述不同状态下的特征差异.
3.3 电流过阈值状态识别
为评估遗传算法-反向传播(GA-BP)网络过阈值分类识别效果,将GA-BPNN与卷积神经网络(convolutional neural networks,CNN)状态分类效果进行对比,进一步验证GA-BP实现过阈值状态分类的快速高效性.CNN的输入为3.2节提取的REMD近似熵特征向量和IMF时域特征向量,对于两种不同情况下的数据集以1∶1比例分开,从表3中各类别随机选取64组共128个REMD近似熵特征值,同时结合表4中相应的时域特征值作为测试集.训练集和测试集以4∶1的比例划分,采用GA优化算法确定BP的初始化参数,为对比不同初始化参数下的自适应重合闸判据构造效果,选择原始网络随机生成初始化参数的BP神经网络进行判据构造.分别从预测值与实际值之间的均方根误差(RMS)、拟合程度相关系数等方面来对比两种网络的性能.图7为CNN和GA-BP运行10次下的均方根误差范围.
图7
图7
不同神经网络过阈值识别误差范围对比
Fig.7
Comparison of error ranges of over-threshold recognition for different neural networks
由图可见,若CNN进行过阈值状态识别,均方根误差的波动范围较大,为1.33×10-4~7.68×10-2,平均均方根误差为0.59×10-2;当使用GA-BP神经网络时,均方根误差的波动范围为5.354×10-8~2.3×10-2,平均均方根误差为5.85×10-3.可见GA-BP神经网络均方根误差更小,更适合作为自适应重合闸装置动作判据构造的神经网络.
为评价GA-BP神经网络与CNN的模式分类效果和网络性能,绘制网络训练过程曲线,引入相关系数R作相关性分析.相关系数R代表预测输出和目标输出之间的相关性,R值越接近1表示预测和输出数据之间的关系越密切,R值越接近0表示预测和输出数据之间的关系随机性越大.图8为CNN和GA-BP神经网络某一次具有代表性的训练过程曲线.由图可知,随着训练代数提升,CNN测试集的均方误差(MSE)并不呈现严格下降趋势,而GA-BP神经网络呈现出严格下降趋势,说明GA-BP网络性能优于CNN;另外,CNN的训练均方误差达到2.59×10-2,而GA-BP神经网络的训练均方误差仅为9.49×10-9,说明GA-BP识别精度更高.从相关系数的角度来看,CNN的相关系数为 0.943 4,GA-BP 神经网络的相关系数为0.999,说明GA-BP神经网络识别结果和输出数据之间关系更密切,可见GA-BP对剩余电流保护装置检测值过阈值状态识别精度更高,用于过阈值状态识别更准确,故更宜采用GA-BP神经网络进行状态识别.
图8
图8
不同神经网络识别结果均方误差随训练代数的变化过程
Fig.8
MSE of recognition results of different neural networks versus training algebra
4 结论
针对低压配电系统触漏电事故频发,且用于防范此类事故的RCD在三相瞬时不平衡状态下频繁发生误动的问题,提出剩余电流保护与重合闸逻辑组合优化方法,主要取得如下研究成果:
(1) 所提剩余电流保护与重合闸逻辑组合策略在检测到剩余电流过阈值时快速跳开断路器,优先保障供电安全性,并在区分触漏电状态与三相不平衡状态后,启动自动重合闸以恢复供电连续性,具有良好的自适应特性.
(2) 所提基于剩余电流REMD近似熵和IMF分时域特征值的GA-BP神经网络能够快速、准确地识别低压配电系统过阈值状态,进而支撑自动重合闸优化动作逻辑,避免对生物体造成二次伤害,同时保护用电设备安全.
未来将重点考虑低压配电系统拓扑结构的复杂性,结合负荷等级研究入户变压器低压侧出口处装设自动重合闸的经济性,为实际工程应用提供理论依据.
参考文献
配电网馈出线路单相永久性接地故障性质辨识方法
[J].
Study on identification method of single phase permanent ground fault in distribution network feedout line
[J].
Feature extraction of arc high impedance grounding fault of low-voltage distribution lines based on Bayesian network optimisation algorithm
[J].
不均衡小样本下多特征优化选择的生命体触电故障识别方法
[J].
Biological electric-shock fault identification method based on multifeature optimization selection under unbalanced small sample
[J].
基于小波分析和概率神经网络的触电事故识别方法
[J].
Electric shock identification method based on probabilistic neural network and wavelet analysis
[J].
综合能源系统电力网架继电保护原理综述
[J].
DOI:10.16183/j.cnki.jsjtu.2021.492
[本文引用: 1]
综合能源系统(IES)因多能源联合协同、用能高效等特点已成为能源系统的研究热点,但面对其复杂的结构、控制、故障等特性,传统保护原理与方案难以适应系统所需.首先分析了IES的结构特征与控制特性,并基于其特点研究了核心电力网架部分的故障特征;进而,基于现有保护原理所利用故障特征对国内外研究、改进现状、保护适用性进行分类分析;最后,探讨与展望了IES线路继电保护原理及方案的研究与发展方向.
Overview of protection principle of power grid in integrated energy system
[J].
Tripping characteristics of residual current devices under nonsinusoidal currents
[J].
High-frequency behavior of residual current devices
[J].
基于剩余电流和不平衡电流突变向量比的TN-C-S系统漏电故障检测方法
[J].
Leakage fault detection method for TN-C-S system based on residual current and unbalanced current mutation vector ratio
[J].
Impacts of distribution network unbalanced impedance on action performances of residual current operated device
[C]//
三相不平衡对剩余电流保护器误动的影响分析
[J].
Analysis of mal-operation of residual current device arose by three-phase imbalance
[J].
基于暂态时-频特征差异的配电网高阻接地故障识别方法
[J].
Identification method of high impedance fault in distribution network based on transient time-frequency characteristic difference
[J].
低压配电网的保护配置及其适应性分析
[J].
Analysis of protection characteristics and applicability of low-voltage distribution lines
[J].
TN-C-S leakage protection method using residual and unbalanced current
[C]//
Protection for prevention of human electrocution in low-voltage distribution systems with declared load of 12 kVA
[J].
触电信号暂态特征提取及故障类型识别方法
[J].
Fault transient feature extraction and fault type identification for electrical shock signals
[J].
基于剩余电流固有模态能量特征的生物触电故障诊断模型
[J].
Fault diagnosis model for biological electric shock based on residual current intrinsic mode function energy features
[J].
基于Hilbert-Huang变换的生物触电电流检测模型
[J].
Detection model of biological electric shock current based on Hilbert-Huang transform
[J].
基于循环谱特征和聚类分析的触电识别
[J].
Electric shock recognition method based on cyclic spectrum features and cluster analysis
[J].
基于EWT和改进Prony算法的超高压线路单相自适应重合闸故障识别方法
[J].
Single phase adaptive reclosing fault property identification method for EHV transmission lines based on EWT and improved Prony algorithm
[J].
270V直流开断特性研究与耗散功率变化的Mayr模型仿真分析
[J].
Research on DC breaking characteristics of 270V DC system and simulation analysis of the Mayr model with variable dissipation power
[J].
基于电弧随机性和卷积网络的交流串联电弧故障识别方法
[J].
Identification method of AC series arc fault based on randomness of arc and convolutional network
[J].
Principle and control design of active ground-fault arc suppression device for full compensation of ground current
[J].
Short-term load forecasting using EMD-LSTM neural networks with a xgboost algorithm for feature importance evaluation
[J].
触电事故特征改进近似熵检测方法
[J].
Electrical shock feature detection method based on improved approximate entropy
[J].
/
| 〈 |
|
〉 |
