低压配电系统剩余电流保护与重合闸逻辑组合优化方法 |
| 徐寒, 朱三立, 张腾飞, 陈舒, 刘明祥 |
|
Optimization Method for Combination of Residual Current Protection and Coincidence Brake Logic in a Low-Voltage Distribution System |
| XU Han, ZHU Sanli, ZHANG Tengfei, CHEN Shu, LIU Mingxiang |
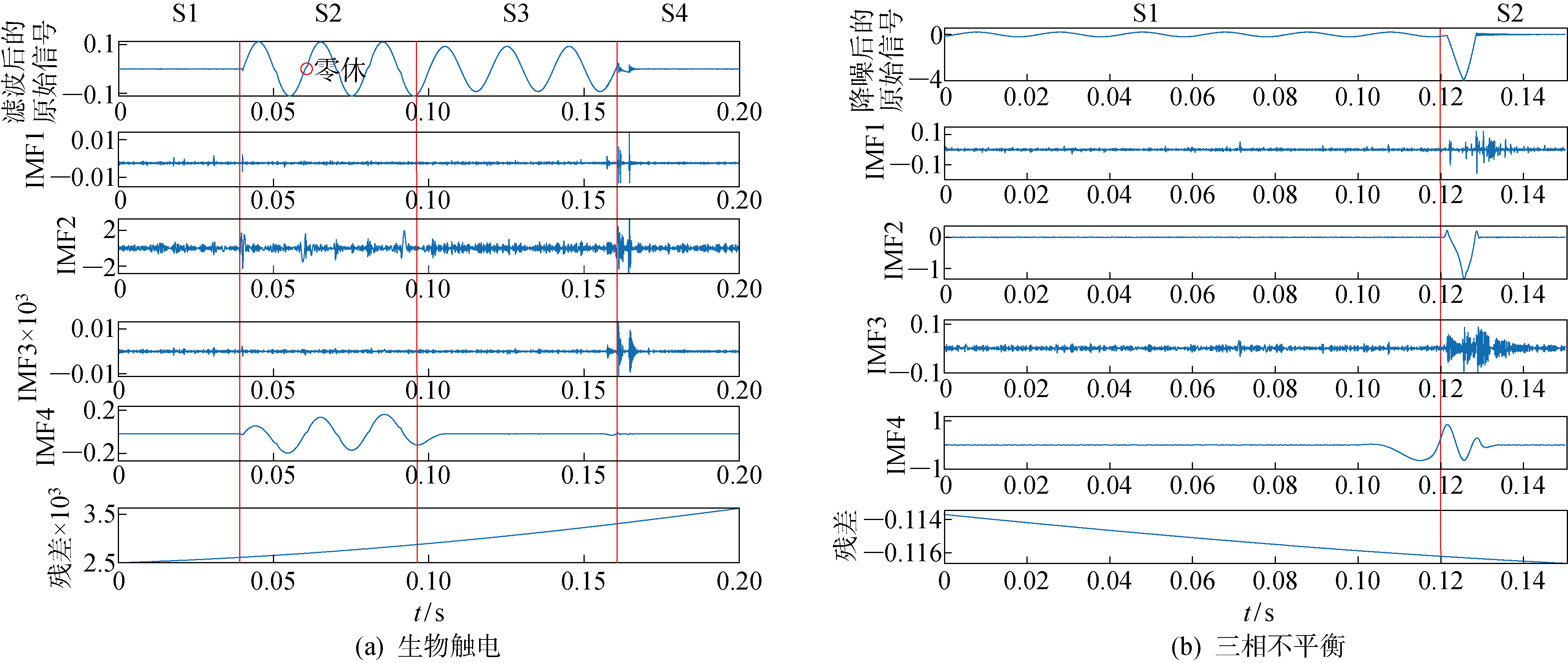
| 图6 两种情况下剩余电流信号的各IMF分量 |
| Fig.6 Each IMF component of residual current signal in both cases |
|