随着西南地区快速发展,高地应力软弱围岩(简称软岩)成为隧道建设的主要难题之一.高地应力软岩在隧道建设时,常表现出大变形和较强的蠕变特性,给隧道支护设计带来极大的挑战.收敛约束法因理论清晰且经过长期实践的验证,而仍被广泛使用[1 ] .隧道围岩全过程纵向变形曲线(LDP曲线)作为收敛约束法的核心,如何确定具有蠕变特性的围岩全过程纵向变形曲线是解决高地应力软岩隧道设计的关键[2 ] .
由于软岩具有较强的蠕变特性,所以在软岩隧道施工过程中,围岩会同时受到时间效应与空间效应的影响.相关学者分别采用理论解析、数值模拟和现场实测对两种效应展开研究.文献[3 -6]中基于三维黏弹性力学解析方法得到了围岩黏弹性本构模型,该模型仅考虑隧道开挖的空间效应;Wang等[7 ] 和Zeng等[8 ] 基于复变函数、保角映射及Laplace变换的方法,探究了考虑隧道开挖顺序的围岩应力变化情况.文献[9 -10 ]中在Burgers模型条件下,探究了围岩压力和应力释放率、地应力、支护方案的关系;苏永华等[11 ] 根据Hoek-Brown强度准则,总结了围岩临界软化参数的求解方法,并引入LDP曲线中进行计算.谭代明等[12 ] 、霍晓龙等[13 ] 、Liu等[14 -17] 利用不同的数值模拟软件探究不同施工方法、施工顺序、黏弹性围岩参数对隧道安全性的影响,并提出相应的优化方案.卢伟[18 ] 、左清军等[19 ] 、王建等[20 ] 和杨成忠等[21 ] 分别以将军岭隧道、姚家隧道、道吾山特长隧道、长城岭隧道为背景,探究围岩变形的时空效应.总体而言,以往针对黏弹性围岩的研究较少考虑时间效应,更多只针对于空间效应.实际上,软岩隧道在支护施作后仍会产生持续的变形,这是时间效应和空间效应叠加的效果,因此仅考虑空间效应进行支护设计有较大的缺陷.
综上,本文针对软岩隧道施工的时间-空间效应,引入Burgers模型,基于有限元软件对不同的Burgers参数展开模拟,并引入洞周位移释放系数对围岩蠕变特性进行分析,探究不同典型因素对围岩纵向变形曲线和位移释放系数的影响.最终通过响应面法分别得到空间效应、时间效应和时空效应控制的纵向变形经验公式,并与现场监测结果和既有公式进行比较验证本文方法的可行性.本文基于不同黏弹性围岩参数推导出的黏弹性纵向变形经验公式,相较于以往理论公式更为简化,方便工程师对具有较强蠕变特性的软岩进行变形预测,为后续软岩隧道支护设计工作提供支持.
1 黏弹性围岩纵向变形曲线模型
1.1 基本假设与问题描述
随着隧道围岩条件变得越来越复杂,常规的弹性解答已无法准确描述具有较强蠕变特性的软弱围岩支护关系,需要引入考虑围岩时空效应的黏弹性理论进行研究.围岩纵向变形曲线是收敛约束法解决三维变形问题的关键曲线,同时为探究围岩变形沿纵向分布规律,引入隧道洞周位移释放系数,表达式为
(1) u * ( x ) = u ( x ) / u m a x
式中: x 表示距离掌子面的距离(正值为掌子面后方;负值为掌子面前方); u m a x 表示围岩变形最大值; u * ( x ) 和u ( x ) 表示距离掌子面x 的位移释放系数和变形量, u ( x ) 可简写为u .
将考虑与未考虑蠕变特性的位移曲线和位移释放系数曲线绘制于图1. 图中:R 表示隧道开挖半径.在纵向变形曲线中,考虑蠕变特性的黏弹性解答达到最大变形的位置晚于未考虑蠕变特性的弹性解答;而考虑蠕变特性的最大变形大于未考虑蠕变特性,因此在针对软岩隧道设计时必须考虑蠕变特性的作用.而本文将由于蠕变特性导致围岩变形收敛时间显著增长的情况称为围岩的时间效应;将不同位置围岩变形不同的情况则称为围岩的空间效应.
图1
图1
围岩纵向变形曲线
Fig.1
Longitudinal deformation profile
为通过数值模拟归纳总结得到考虑时空效应的围岩释放系数的经验公式,本文采用Burgers本构模型展开研究,如图2 所示,并做出以下假定:① 围岩各向同性且具有稳定蠕变特性;② 隧道为深埋圆形隧道,且模型不考虑重力作用;③ 围岩为均质黏弹性材料,变形满足小变形假设.图中:G K 表示Kelvin切变模量;η K 表示Kelvin黏滞系数;G M 表示Maxwell切变模量;η M 表示Maxwell黏滞系数.
图2
图2
Burgers模型
Fig.2
Burgers model
目前没有Burgers模型取值范围和建议值,因此为建立黏弹性围岩纵向变形曲线数据库,本文选取14个不同的Burgers参数反演结果作为计算参数,具体如表1 所示.表中:K 表示体积模量.
1.2 模型建立
由于不考虑重力作用,模型(见图3 )可以选取1/4进行模拟分析.现有理论认为空间效应只存在于10倍隧道半径以内[15 ] ,因此选择隧道的开挖半径为3 m,模型的水平和和竖直方向均为10倍洞径(30 m),纵向长度为100 m.根据隧道的实际情况,模型上方以外的边界均设置为固定边界,地应力可按照相应的梯度施加在模型节点上.
图3
图3
数值模型示意图
Fig.3
Model diagram
在以往的研究中,因只考虑空间效应,纵向变形曲线的提取采用一次开挖再提取的方法.本文同时研究空间效应和时间效应的影响,因此只能采用分步开挖并记录的方法,具体方法为:每次开挖一定长度,软件内部的记录功能(history)对所研究位置的变形进行记录.随着隧道不断开挖,所得到的围岩变形与隧道纵向位置的关系曲线即是具有时空效应的纵向变形曲线.
2 典型因素影响规律
2.1 地应力影响分析
为探究地应力对围岩纵向变形曲线的影响,选取5个地应力梯度5、10、15、20、25 MPa 开展研究,将各组拟合结果绘制于图4. 在各系列中,不同初始地应力的位移释放系数曲线基本相同,因此地应力对位移释放系数的影响基本可忽略不计.
图4
图4
各地应力对应的位移释放系数
Fig.4
Displacement release coefficient of each stress
在既有研究中,Burgers模型二维平面应变条件下围岩特性曲线只与时间有关,相应表达式为
(2) $u_{r}(t)=\frac{\sigma^{0} R}{2}\left[\frac{1}{G_{M}}+\frac{1}{G_{K}}\left(1-e^{-\frac{G_{K}}{\eta_{K}} t}\right)\right]$
(3) u m a x σ 0 = R 2 1 G M + 1 G K = R 2 G M + G K G M G K
在黏弹性围岩不考虑时空效应的条件下, u m a x / σ 0 只与R 、 G M 、 G K 有关.将数值模拟的斜率k 与解析公式获得的u m a x / σ 0 汇总于表2 进行比较,两者数值差异均小于4×10-4 ,因此数值模拟的结果符合既有理论研究,该数值模拟结果可信.
2.2 Burgers参数影响分析
为了进一步探究Burgers参数对围岩变形和位移释放系数的影响,以系列7为基础,基于控制变量法设计试验工况.将系列7的Burgers参数均额外设计4个水平进行计算,其中0、1、2、3和4水平分别对应系列7中该参数原值,原值的10%、50%、150%和 1 000%,如表3 所示.
2.2.1 K 的影响
如图5 所示, K 的变化对围岩纵向变形曲线、位移释放系数曲线影响不显著,两者变化趋势相同.研究断面位移变形范围从掌子面前2倍隧道半径开始,到掌子面后6倍隧道半径抵达最大值.K是岩石的固有性质,当K 增大,相同应力条件下其变形将越小,但是支护状态并未发生改变,因此整体围岩-支护受力未改变,最大变形不变,K 增大将导致围岩变形曲线和位移释放曲线收敛缓慢.
图5
图5
体积模量K 的影响
Fig.5
Effect of bulk modulus (K )
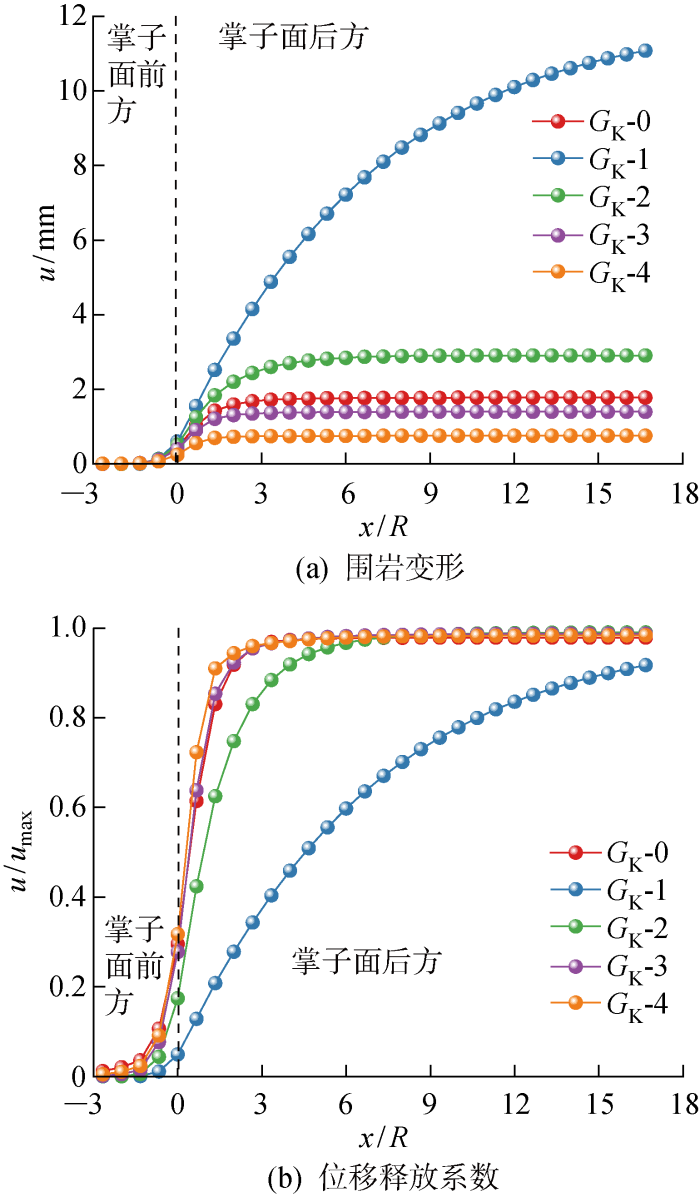
2.2.2 G K 的影响
如图6 所示,G K 减小导致围岩变形增加的同时会出现在模型计算范围内无法达到最大变形的情况.而在位移释放系数方面,模型范围内无法达到最大收敛位移的工况(G K -1)对应的位移释放系数同样低于其他组.位移释放系数随着G K 的增加而增加,工况G K -1、G K -2的增长幅度较大,而工况G K -3和G K -4的变化不显著.G K 是与黏壶元件并联的弹簧元件的切变模量,相同受力条件下随着G K 不断减小,围岩变形将不断增大.当G K 相对较大时,其对变形的影响相对较小,而当G K 足够小时,围岩变形将快速增大.由于工况G K -1未达到最大变形,所以该工况对应的位移释放系数曲线未形成完整的S形曲线,其余工况均形成了完整的S形曲线,因此相应的位移释放系数曲线基本保持一致.
图6
图6
Kelvin切变模量G K 的影响
Fig.6
Effect of Kelvin shear modulus (G K )
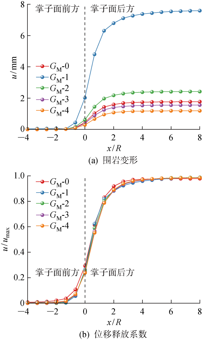
2.2.3 G M 对位移、位移释放系数的影响
如图7 所示,G M 的减小会导致围岩变形的增加,其中工况G M -1围岩变形远大于其他工况;而位移释放系数随G M 的变化不显著.变形影响范围同样为掌子面前2倍隧道半径至掌子面后6倍隧道半径.G M 是与黏壶元件串联的弹簧元件的切变模量,可表示瞬时形态.相同受力条件下随着G M 的不断减小,围岩变形将不断增大.当G M 相对较大时,其对变形的影响相对较小,而当G M 足够小时,围岩变形将快速增大.由于不同G M 均形成了完整的S形曲线,所以相应的位移释放系数曲线基本保持一致.与G K 相比,G M 不同水平下各曲线间差异较小且围岩变形更小,因此参数G M 相较于参数G K 对围岩变形影响较小.
图7
图7
Maxwell切变模量G M 的影响
Fig.7
Effect of Maxwell shear modulus (G M )
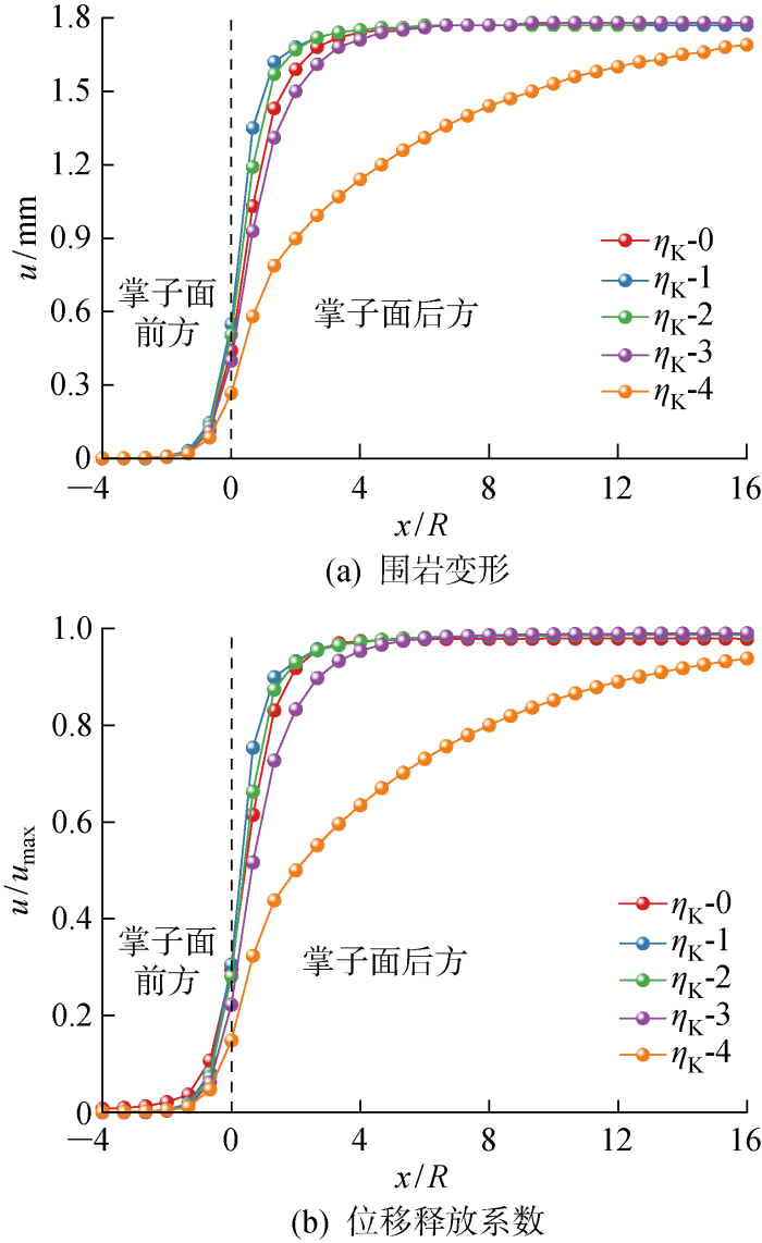
2.2.4 η K 对位移、位移释放系数的影响
如图8 所示,η K 的增加会导致出现无法达到最大变形(η K -4)的情形,但是η K 的改变不会影响最大变形.围岩变形在η K -4至η K -3变化较大,而在η K -3、η K -2、η K -1的变化过程中差距较小.位移释放系数变化规律与围岩变形趋势基本一致.黏壶是控制围岩蠕变特性的核心元件,但其不是强度控制的元件,因此其只能控制围岩变形曲线的形态.当黏滞系数较小时,其蠕变差异并不明显,各曲线差别较小;当黏滞系数较大时,其蠕变特性较为明显,因此前期变形速率较慢,达到平衡的时间也更长.
图8
图8
Kelvin黏滞系数η K 的影响
Fig.8
Effect of Kelvin viscosity coefficient (η K )
2.3 开挖速度影响分析
由式(1)可知,三维条件下Burgers模型中时间相关的围岩特性与延滞时间t d (t d =η K /G K )密切相关.在对单一变量Burgers参数的影响研究中,随着η K 增大,时间效应的作用更明显,模型计算收敛时间也更长.因此,本文为进一步研究开挖速度的影响,共设置9组工况,工况1~9分别代表施工速度为16、8、4、2、1.3、1、0.8、0.4、0.2 m/d.后续研究中工况标号将按照系列号+开挖速度工况,如9-1表示系列9开挖速度为16 m/d.计算结果表明,不同延滞时间所对应的位移释放系数曲线可根据其能否形成完整的S形曲线和围岩开始变形的位置,划分为3类:低延滞系数、中延滞系数和高延滞系数.
当延滞时间较小时(系列1~6最大延滞时间为470 s),在掌子面前方即x/R <0,位移释放的时空效应均从2倍隧道半径内才开始出现.以系列5为例,不同速度对应的位移释放系数曲线绘制于图9. 当速度为16和8 m/d时,位移释放系数随着开挖速度的减小而增大;当开挖速度小于或等于2 m/d时,开挖速度对位移释放系数变化基本没有影响;开挖速度为4 m/d的工况介于上述情况之间.
图9
图9
系列5位移释放系数
Fig.9
Displacement release coefficient of Series 5
系列7、8、9的延滞时间大于470 s,将其归纳为中延滞系数,以系列9为例,相应工况的位移释放系数曲线如图10 所示.掌子面前方位移释放系数曲线的起始点相较于低延滞系数提前至掌子面前方3倍隧道半径处.掌子面后方,当开挖速度大于2 m/d时,时间效应在隧道开挖循环内无法释放完全,且开挖速度在16、8、4 m/d时位移释放率差异更大.
图10
图10
系列9位移释放系数
Fig.10
Displacement release coefficient of Series 9
高延滞时间工况(系列10~14,以系列12为例)的位移释放系数曲线如图11 所示,曲线在掌子面前方的起点相较于低延滞时间系列距离掌子面更远.而在掌子面后方,围岩变形的持续时间将随着延滞时间的增加而逐渐增加,因此在数值模拟的模型范围内越来越难以达到最大收敛位移.因而在系列12中,12-1、12-2和12-3这3条曲线在16倍隧道半径的范围内无法形成完整的S形曲线.
图11
图11
系列12位移释放系数
Fig.11
Displacement release coefficient of Series 12
为探究不同延滞时间下位移释放系数曲线的差异,将开挖速度为16 m/d的各系列位移释放系数曲线绘制于图12. 系列1~6均形成了完整的S形曲线,且各曲线差别较小;系列7~9逐渐开始无法形成完整的S形曲线,但仍在逐渐接近于1,因此基本可认为形成了完整的S形曲线;系列10~14在16倍隧道半径的范围内均无法形成完整的S形曲线,且随着延滞时间的增加,位移释放系数增长越缓慢,围岩更难达到平衡.
图12
图12
开挖速度16 m/d下各系列位移释放系数
Fig.12
Displacement release coefficient of each series at excavation speed of 16 m/d
3 位移释放系数经验公式
3.1 掌子面前方拟合公式
根据前文参数讨论的结果可以发现掌子面前后的位移释放系数有所不同.掌子面前方围岩位移释放系数在不同施工速度的工况中整体保持一致,因此可认为掌子面前方围岩位移释放系数只受空间效应的影响,可直接对计算结果进行拟合,得到掌子面前方位移释放系数经验表达式:
(4) u ( x ) u m a x = 0.231 e x p 1.94 x R
在掌子面的后方,隧道10倍开挖半径内的围岩同时受到时间和空间效应的影响[15 ] ,因此为准确分析围岩变形特征,本文将原曲线分为3类展开分析.
3.2 掌子面后方空间效应控制型
将2.3节中计算得到的所有位移释放系数曲线绘制于图13 ,从图中可以清晰地发现以工况9-3为分界线,工况9-3计算结果以上的位移释放系数曲线密集,以下的较为“发散”.工况9-3以上密集区域内的位移释放系数曲线最大值均为1.0,形成了完整的S形曲线,其他曲线最大值虽未达到1.0,但其形状仍为S形,因此本文选取函数f ( x ) = a e b x + c 进行拟合.
图13
图13
各工况位移释放系数汇总
Fig.13
Summary of displacement release coefficient of each item
由第2章的研究结果可知,开挖速度对各工况的位移释放系数的影响均是明显的,随着黏滞系数的增大,越来越多的曲线无法形成完整的S形曲线.因此将16倍隧道半径内可形成完整S形曲线的工况归纳为空间效应控制型曲线,而其对应的临界开挖速度如表4 所示.以临界速度为判断基础,拟合函数作为判断位移释放系数是否为主要受空间效应控制的依据,该判别方法同样适用于弹性围岩判别:
(5) $v<16 \mathrm{e}^{-t_{\mathrm{d}}}$
开挖速度小于判别速度则对应的位移释放系数受空间效应影响显著,同时相应的曲线均在工况9-3曲线的上方,各曲线的集中度较高,因此可直接借助包络线以及对应的平均值进行预测,如图14 所示.
图14
图14
空间效应控制型位移释放系数曲线与包络线
Fig.14
Envelope lines and curves of displacement release coefficient affected by spatial effect
3.3 掌子面后方时空效应控制型
由时空效应的影响因素研究结论可知,空间效应与距掌子面的距离相关,距离掌子面越近则越显著;时间效应则与开挖速度、延滞时间的相对关系有关,开挖速度越快、延滞时间越大则时间效应越显著.两者不同点在于空间效应存在最大影响效果,即本文求解位移释放系数曲线的上限包络线;而时间效应不存在最大影响效果,其会直接改变围岩的基本性质,进而影响围岩持续变形的时间.
时空效应综合控制型围岩在实际中将表现为极为复杂的状态.当时间效应足够大则时间效应影响占主要因素;而若时间效应较小时,随着隧道的开挖空间效应逐渐衰减,隧道受时间-空间效应的共同影响显著.总结可知,时空效应控制型围岩同时受到时间和空间效应的作用,两个效应影响的程度不同,该类曲线存在快速增加区间不统一的情况,进而导致曲线有较多交叉.
时空效应控制型同时受到时间和空间效应的影响,因此需同时考虑临界速度和延滞时间.由图15 可知,时空效应控制型曲线均在9-3工况之下,因此取系列9(延滞时间为0.431 d)中空间效应影响型的临界速度为4 m/d.而当延滞时间过大时,时间效应的影响程度将超过空间效应.图中主要时空效应控制型曲线集中在系列10和11,因此选择系列11对应的延滞时间3.40 d作为上限.改进后的判别公式如下:
(6) v 16 e - t d 0.431 d t d 3.40 d
图15
图15
时空效应控制型位移释放系数
Fig.15
Displacement release coefficient affected by space-time effect
基于拟合公式f ( x ) = a e b x + c 对各条曲线进行拟合,拟合结果如表5 所示.不同于空间影响型,时空效应控制型曲线集中度不高,但对应的延滞时间在0.431~3.40 d范围内,因此可考虑基于插值法对不同类型曲线进行预测.
根据上述假设,将原工况10-2和11-2作为标准组,并取两工况的相邻组10-1、10-3和11-1、11-3进行插值处理,确定10-2和11-2预测曲线的对应系数分别为a =-0.824,b =-0.259,c =0.98;a =-0.619,b =-0.318,c =0.87.将预测结果和数值模拟结果绘制于图16 ,两组曲线的拟合度分别为 R 2 =0.988,R 2 =0.989,因此插值法可用于时空效应控制性曲线的预测.
图16
图16
工况10-2和11-2预测结果与实际值对比
Fig.16
Comparison of predicted results with actual values in Items 10-2 and 11-2
3.4 掌子面后方时间效应控制型
当时间效应占据主要影响因素时,相应的位移释放系数曲线将表现出与时间的强相关性.由“时空效应控制型”的分析结果可知,时间效应控制型曲线应具备变形时间长、开挖速度快的特点.因此取延滞时间3.40 d为分界线,修改后的判别公式为
(7) v 16 e - t d t d 3.40 d
将符合上述条件的曲线绘制于图17 中,各曲线均在16倍隧道半径内无法形成完整的S形曲线,且无任何交叉现象,表现出与时间效应的强相关性.因此在确定各个参数的过程中需要考虑开挖速度与延滞时间.在后续拟合过程中发现b 与开挖速度的关系较弱,因此b 与延滞时间的函数关系如下:
(8) b = - 0.412 e - 0.134 t d + 0.715
图17
图17
时间效应控制型位移释放系数曲线
Fig.17
Curves of displacement release coefficient affected by time effect
拟合优度为0.96.而a 、c 与开挖速度和延滞时间具有较强的关系,因此基于响应面法对a 、c 拟合,拟合结果如下:
(9) a = - 0.812 + 0.009 t d + 0.04 v - 0.000 23 v t d - 0.001 9 v 2
(10) c = 1.315 - 0.011 t d - 0.042 v + 0.000 37 v t d + 0.001 61 v 2
通过式(8)~(10)可以求解“时间效应控制型”位移释放系数.值得注意的是,本文计算中最大延滞时间为26.55 d,实际围岩如果遇到更大的延滞时间仍需数值模拟手段计算围岩纵向变形结果.
综上所述,掌子面前方的位移释放系数曲线差异较小,可取统一的经验公式进行表示;掌子面后方的位移释放系数可按照空间效应控制型、时间-空间效应控制型和时间效应控制型3种模型分别确定相应的经验公式.各类型经验公式的系数取值如表6 所示.
4 位移释放系数经验公式验证与分析
4.1 与实测结果比较
甜水堡煤矿位于庆阳市环县甜水镇境内,矿井设计生产能力2.4×106 t/a,服务年限51 a.矿井井田面积 26.628 5 km2 ,地质储量为 2.910 95×108 t,设计可采储量1.652×108 t,可采煤层8层.1304巷道回风巷位于采区南翼,3#煤层赋存较稳定.
从1304巷道回风巷钻芯取样并进行三轴蠕变试验,试验采用岩石力学实验室的微机岩石综合控制系统(见图18 ),该系统由轴向系统、围压系统、孔隙水加载系统和计算机系统组成.该试验设备具有高精度测量岩石三轴全过程力学性质,满足本次试验的要求.根据试验结果可以得到相应的Burgers参数为:G M =93.5 MPa,G K =16.7 MPa,η K =684 MPa·h,可以确定该围岩对应的延滞时间为t d =1.71 d,引用判据式得到临界速度为v =2.89 m/d,而该煤矿单日掘进距离大于10 m,同时0.431 d<1.71 d<3.40 d,因此该巷道围岩属于时空效应控制型.可基于表5 进行内插得到相应的位移释放系数表达式:
(11) f ( x ) = - 0.809 e - 0.214 x + 0.967
图18
图18
试验仪器
Fig.18
Test instruments
将预测值与现场监测结果对比如图19 所示,两条曲线基本吻合,预测公式拟合度为R 2 =0.973,因此该方法可以较好地描述隧道开挖过程中位移释放系数随掌子面推进的关系.
图19
图19
预测结果与实际值对比
Fig.19
Comparison of predicted results and actual values
4.2 与既有公式对比
在传统的弹性力学中,围岩变形仅需考虑其空间特征.当开挖速度较小时,时间效应可被忽略,本文中的黏弹性围岩位移释放系数解答可退化为弹性解,如图20 所示.取开挖速度为0.2 m/d,将本文计算结果绘制于图20(a) ,不同围岩参数具有一致的空间效应,可用统一的函数分别对掌子面前方和后方的位移释放曲线进行拟合.将计算结果与其他学者[22 -23 ] 所提出的位移释放系数计算方法进行对比,对比情况如图20(b) 所示.本文中黏弹性围岩位移释放系数解答退化后的弹性解与其他学者所提出的弹性结果重合度较高,表明了本文拟合函数的可靠性.然而既有公式均未考虑时间效应,与黏弹性洞周位移规律有较大偏差.因此,本文所确定的位移释放系数可更好地反映黏弹性洞周位移规律,保证隧道支护设计的安全性和科学性.
图20
图20
退化弹性解与既有弹性解对比
Fig.20
Comparison of degenerate elastic solutions and existing elastic solutions
5 结论
本文针对黏弹性围岩建立相应围岩纵向变形和位移释放系数曲线数据库,探究地应力、Burgers参数和开挖速度对围岩释放系数的影响及其演化过程,同时根据主要影响因素将各曲线进行划分并得到不同类型围岩释放系数的经验公式,并得到如下结论:
(1) 以Burgers模型和参数为基础,通过大量数值模拟计算,构建黏弹性围岩纵向变形曲线数据库,并引入位移释放系数探究了黏弹性围岩纵向变形的时间-空间演化规律.
(2) 地应力对位移释放系数没有影响;K 对位移释放系数影响较小;G K 、η K 、G M 在极端取值时将导致围岩变形发生突变;根据能否形成完整的S形曲线和围岩开始变形的位置,可将曲线划分为低延滞系数、中延滞系数和高延滞系数3类.
(3) 基于数值模拟结果对掌子面后方围岩的时空变形特征进行分析,将其分为空间效应控制型、时空效应控制型、时间效应控制型3种类型.所提出的判断依据以及经验公式与甜水堡煤矿试验结果和现有公式比较,表明本经验公式可有效预测围岩变形时空分布.
参考文献
View Option
[16]
LIU C , ZHANG S , ZHANG D , et al . Model tests on progressive collapse mechanism of a shallow subway tunnel in soft upper and hard lower composite strata
[J]. Tunnelling and Underground Space Technology , 2023 , 131 : 104824 .
[17]
王嘉琛 , 张顶立 , 孙振宇 , 等 . 水平互层围岩隧道破坏机理及其范围预测模型
[J]. 力学学报 , 2022 , 54 (10 ): 2835 -2849 .
[本文引用: 1]
WANG Jiachen , ZHANG Dingli , SUN Zhenyu , et al . Failure mechanism and scope prediction model of horizontal interbedded surrounding rock tunnel
[J]. Chinese Journal of Theoretical and Applied Mechanics , 2022 , 54 (10 ): 2835 -2849 .
[本文引用: 1]
[18]
卢伟 . 断层破碎带隧道洞周变形时空效应研究
[J]. 结构工程师 , 2019 , 35 (3 ): 236 -242 .
[本文引用: 1]
LU Wei . Research on the space-time effect of the fault fracture zone with tunnel surrounding rock deformation
[J]. Structural Engineers , 2019 , 35 (3 ): 236 -242 .
[本文引用: 1]
[19]
左清军 , 吴友银 , 闫天玺 . 特大断面板岩隧道施工期围岩变形时空效应分析
[J]. 防灾减灾工程学报 , 2018 , 38 (2 ): 233 -243 .
[本文引用: 1]
ZUO Qingjun , WU Youyin , YAN Tianxi . Analysis of time-space effect for surrounding rock deformation in super-large cross section slate tunnel during construction period
[J]. Journal of Disaster Prevention and Mitigation Engineering , 2018 , 38 (2 ): 233 -243 .
[本文引用: 1]
[20]
王建 , 袁枫斌 , 袁龙 . 特大断面砂质板岩隧道V级围岩变形时空效应
[J]. 科学技术与工程 , 2020 , 20 (5 ): 2048 -2052 .
[本文引用: 1]
WANG Jian , YUAN Fengbin , YUAN Long . Temporal and spatial effects of V-type surrounding rock deformation in extra large section sandy slate tunnel
[J]. Science Technology and Engineering , 2020 , 20 (5 ): 2048 -2052 .
[本文引用: 1]
[21]
杨成忠 , 吴宇健 , 王威 , 等 . 大断面软岩隧道开挖空间效应影响分析
[J]. 地下空间与工程学报 , 2021 , 17 (2 ): 511 -519 .
[本文引用: 1]
以长城岭软岩隧道为背景,通过现场监测和数值模拟,分析了隧道施工过程中围岩变形的三维空间演化规律,得出不同施工工法、断面尺寸和围岩等级对隧道开挖面空间效应的影响;结合正交实验和极差分析得到三类因素对开挖面空间效应影响的优先次序。结果表明:开挖面从逼近监测断面到通过监测断面再到远离,围岩主要经历了预变形、急剧变形和变形稳定3个阶段;软弱围岩的三维扰动深度沿开挖、竖直和水平方向分别在1.5、3和1倍洞径内;开挖工法对围岩变形的影响程度大小关系为全断面开挖法>台阶法>CD法;围岩等级越低,隧道断面尺寸越大,围岩变形量和范围越大;通过正交实验结合极差分析的方法得出对围岩变形的影响优先次序中围岩等级>断面尺寸>施工方法。
YANG Chengzhong , WU Yujian , WANG Wei , et al . Analysis on influence of spacial effect on excavation of soft rock tunnel with large cross section
[J]. Chinese Journal of Underground Space and Engineering , 2021 , 17 (2 ): 511 -519 .
[本文引用: 1]
Taking Changchengling tunnel as background, the three-dimensional evolution law of surrounding rock deformation during tunnel construction was analyzed by the method of field monitoring and numerical simulation, which led to impacts that different construction method, section size and surrounding rock grade had on the spacial effect of tunnel excavation face. The priority of the influence of these three factors on the spatial effect of excavation face was obtained through combining orthogonal experiment and range analysis. The result shows that the surrounding rock mainly experienced three stages (pre-deformation, sharp deformation and stable deformation), when excavation face approached, passed and leaving the monitoring section; three-dimensional disturbance depth of deformation of surrounding rock was within 1.5, 3 and 1 times tunnel diameter in the direction of excavation, vertical and horizon; the influence degree of excavation method on surrounding rock was that step-method is greater than CD-method but less than full-face excavation; the worse the rock is and the larger the section is, the larger the rock deformation and its range are; the priority of the influence was that section size is greater than excavation method but less than grade of the rock, which was obtained by the method combining orthogonal experiment and range analysis.
[1]
侯公羽 , 李晶晶 . 弹塑性变形条件下围岩-支护相互作用全过程解析
[J]. 岩土力学 , 2012 , 33 (4 ): 961 -970 .
[本文引用: 1]
HOU Gongyu , LI Jingjing . Analysis of complete process of interaction of surrounding rock and support under elastioplastic deformation condition
[J]. Rock and Soil Mechanics , 2012 , 33 (4 ): 961 -970 .
[本文引用: 1]
[2]
WANG Y , WANG J C , PENG F . Study on the characteristics of surrounding rock and design of backfill material parameters for tunnels passing through giant caverns and underground rivers
[J]. Applied Sciences , 2022 , 12 (8 ): 3906 .
[本文引用: 1]
[3]
DO D P , TRAN N T , MAI V T , et al . Time-dependent reliability analysis of deep tunnel in the viscoelastic burger rock with sequential installation of liners
[J]. Rock Mechanics and Rock Engineering , 2020 , 53 (3 ): 1259 -1285 .
[本文引用: 1]
[4]
EUGIE K , MURAT K , EMMANUEL K C . Time-dependent solution for non-circular tunnels considering the elasto-viscoplastic rockmass
[J]. International Journal of Rock Mechanics and Mining Sciences , 2020 , 133 : 104395 .
[5]
ZHAO N , SHAO Z , WU K , et al . Time-dependent solutions for lined circular tunnels considering rockbolts reinforcement and face advancement effects
[J]. International Journal of Geomechanics , 2021 , 21 (10 ): 04021179 .
[6]
GU S C , HE H W , HUANG R B . Stress-strain calculation method of composite lining considering the creep characteristics of tunnel surrounding rock
[J]. Advances in Civil Engineering , 2021 , 21 (10 ): 7521435 .
[本文引用: 1]
[7]
WANG H N , SONG F , ZHAO T , et al . Solutions for lined circular tunnels sequentially constructed in rheological rock subjected to non-hydrostatic initial stresses
[J]. European Journal of Environmental and Civil Engineering , 2022 , 26 (5 ): 1834 -1866 .
[本文引用: 1]
[8]
ZENG G S , WANG H N , JIANG M J , et al . Analytical solution of displacement and stress induced by the sequential excavation of noncircular tunnels in viscoelastic rock
[J]. International Journal of Rock Mechanics and Mining Sciences , 2020 , 134 : 104429 .
[本文引用: 1]
[9]
CHU Z , WU Z , LIU Q , et al . Analytical solution for lined circular tunnels in deep viscoelastic burgers rock considering the longitudinal discontinuous excavation and sequential installation of liners
[J]. Journal of Engineering Mechanics , 2021 , 147 (4 ): 04021009 .
[本文引用: 1]
[10]
ALI R K , HADI H , NIMA B . Time-dependent analysis of stress components around lined tunnels with circular configuration considering tunnel advancing rate effects
[J]. International Journal of Rock Mechanics and Mining Sciences , 2020 , 133 : 104422 .
[本文引用: 1]
[22]
PANET M , GUENOT A . Analysis of convergence behind the face of a tunnel
[C]// Tunnelling 82, Proceedings of the 3rd International Symposium . Brighton, UK : IMM , 1982 : 197 -204 .
[本文引用: 1]
[23]
CORBETTA F , BERNAUD D , MINH D N . Contribution à la méthode convergence-confinement par le principe de la similitude
[J]. Revue Française de Géotechnique , 1991 (54 ): 5 -11 .
[本文引用: 1]
[11]
苏永华 , 邹宇恒 . 基于Hoek-Brown软化模型的支护结构稳定性分析
[J]. 中南大学学报(自然科学版) , 2020 , 51 (2 ): 453 -463 .
[本文引用: 1]
SUN Yonghua , ZOU Yuheng . Stability analysis of support structure based on Hoek-Brown strain-softening model
[J]. Journal of Central South University(Science and Technology) , 2020 , 51 (2 ): 453 -463 .
[本文引用: 1]
[12]
谭代明 , 漆泰岳 , 莫阳春 . 考虑时空效应的软弱围岩隧道施工稳定性研究
[J]. 水文地质工程地质 , 2009 , 36 (4 ): 85 -89 .
[本文引用: 1]
TAN Daiming , QI Taiyue , MO Yangchun . Study on construction stability of soft surrounding rock tunnel considering time-space effect
[J]. Hydrogeology and Engineering Geology , 2009 , 36 (4 ): 85 -89 .
[本文引用: 1]
[13]
霍晓龙 , 陈寿根 , 张小明 . 唐家山隧道施工特性及时空效应研究
[J]. 施工技术 , 2012 , 41 (19 ): 79 -83 .
[本文引用: 1]
HUO Xiaolong , CHEN Shougen , ZHANG Xiao-ming . Study on construction characteristic and temporal-spatial effect of Tangjiashan tunnel
[J]. Construction Technology , 2012 , 41 (19 ): 79 -83 .
[本文引用: 1]
[14]
LIU C , ZHANG D , ZHANG S , et al . Interaction analysis between composite supports and rheological rock considering progressive hardening characteristic of shotcrete
[J]. Construction and Building Materials , 2023 , 374 : 130876 .
[本文引用: 1]
[15]
LIU C , ZHANG D , ZHANG S , et al . Long-term mechanical analysis of tunnel structures in rheological rock considering the degradation of primary lining
[J]. Underground Space , 2023 , 10 : 217 -232 .
[本文引用: 2]
Model tests on progressive collapse mechanism of a shallow subway tunnel in soft upper and hard lower composite strata
0
2023
水平互层围岩隧道破坏机理及其范围预测模型
1
2022
... 由于软岩具有较强的蠕变特性,所以在软岩隧道施工过程中,围岩会同时受到时间效应与空间效应的影响.相关学者分别采用理论解析、数值模拟和现场实测对两种效应展开研究.文献[3 -6 ]中基于三维黏弹性力学解析方法得到了围岩黏弹性本构模型,该模型仅考虑隧道开挖的空间效应;Wang等[7 ] 和Zeng等[8 ] 基于复变函数、保角映射及Laplace变换的方法,探究了考虑隧道开挖顺序的围岩应力变化情况.文献[9 -10 ]中在Burgers模型条件下,探究了围岩压力和应力释放率、地应力、支护方案的关系;苏永华等[11 ] 根据Hoek-Brown强度准则,总结了围岩临界软化参数的求解方法,并引入LDP曲线中进行计算.谭代明等[12 ] 、霍晓龙等[13 ] 、Liu等[14 -17 ] 利用不同的数值模拟软件探究不同施工方法、施工顺序、黏弹性围岩参数对隧道安全性的影响,并提出相应的优化方案.卢伟[18 ] 、左清军等[19 ] 、王建等[20 ] 和杨成忠等[21 ] 分别以将军岭隧道、姚家隧道、道吾山特长隧道、长城岭隧道为背景,探究围岩变形的时空效应.总体而言,以往针对黏弹性围岩的研究较少考虑时间效应,更多只针对于空间效应.实际上,软岩隧道在支护施作后仍会产生持续的变形,这是时间效应和空间效应叠加的效果,因此仅考虑空间效应进行支护设计有较大的缺陷. ...
Failure mechanism and scope prediction model of horizontal interbedded surrounding rock tunnel
1
2022
... 由于软岩具有较强的蠕变特性,所以在软岩隧道施工过程中,围岩会同时受到时间效应与空间效应的影响.相关学者分别采用理论解析、数值模拟和现场实测对两种效应展开研究.文献[3 -6 ]中基于三维黏弹性力学解析方法得到了围岩黏弹性本构模型,该模型仅考虑隧道开挖的空间效应;Wang等[7 ] 和Zeng等[8 ] 基于复变函数、保角映射及Laplace变换的方法,探究了考虑隧道开挖顺序的围岩应力变化情况.文献[9 -10 ]中在Burgers模型条件下,探究了围岩压力和应力释放率、地应力、支护方案的关系;苏永华等[11 ] 根据Hoek-Brown强度准则,总结了围岩临界软化参数的求解方法,并引入LDP曲线中进行计算.谭代明等[12 ] 、霍晓龙等[13 ] 、Liu等[14 -17 ] 利用不同的数值模拟软件探究不同施工方法、施工顺序、黏弹性围岩参数对隧道安全性的影响,并提出相应的优化方案.卢伟[18 ] 、左清军等[19 ] 、王建等[20 ] 和杨成忠等[21 ] 分别以将军岭隧道、姚家隧道、道吾山特长隧道、长城岭隧道为背景,探究围岩变形的时空效应.总体而言,以往针对黏弹性围岩的研究较少考虑时间效应,更多只针对于空间效应.实际上,软岩隧道在支护施作后仍会产生持续的变形,这是时间效应和空间效应叠加的效果,因此仅考虑空间效应进行支护设计有较大的缺陷. ...
断层破碎带隧道洞周变形时空效应研究
1
2019
... 由于软岩具有较强的蠕变特性,所以在软岩隧道施工过程中,围岩会同时受到时间效应与空间效应的影响.相关学者分别采用理论解析、数值模拟和现场实测对两种效应展开研究.文献[3 -6 ]中基于三维黏弹性力学解析方法得到了围岩黏弹性本构模型,该模型仅考虑隧道开挖的空间效应;Wang等[7 ] 和Zeng等[8 ] 基于复变函数、保角映射及Laplace变换的方法,探究了考虑隧道开挖顺序的围岩应力变化情况.文献[9 -10 ]中在Burgers模型条件下,探究了围岩压力和应力释放率、地应力、支护方案的关系;苏永华等[11 ] 根据Hoek-Brown强度准则,总结了围岩临界软化参数的求解方法,并引入LDP曲线中进行计算.谭代明等[12 ] 、霍晓龙等[13 ] 、Liu等[14 -17 ] 利用不同的数值模拟软件探究不同施工方法、施工顺序、黏弹性围岩参数对隧道安全性的影响,并提出相应的优化方案.卢伟[18 ] 、左清军等[19 ] 、王建等[20 ] 和杨成忠等[21 ] 分别以将军岭隧道、姚家隧道、道吾山特长隧道、长城岭隧道为背景,探究围岩变形的时空效应.总体而言,以往针对黏弹性围岩的研究较少考虑时间效应,更多只针对于空间效应.实际上,软岩隧道在支护施作后仍会产生持续的变形,这是时间效应和空间效应叠加的效果,因此仅考虑空间效应进行支护设计有较大的缺陷. ...
Research on the space-time effect of the fault fracture zone with tunnel surrounding rock deformation
1
2019
... 由于软岩具有较强的蠕变特性,所以在软岩隧道施工过程中,围岩会同时受到时间效应与空间效应的影响.相关学者分别采用理论解析、数值模拟和现场实测对两种效应展开研究.文献[3 -6 ]中基于三维黏弹性力学解析方法得到了围岩黏弹性本构模型,该模型仅考虑隧道开挖的空间效应;Wang等[7 ] 和Zeng等[8 ] 基于复变函数、保角映射及Laplace变换的方法,探究了考虑隧道开挖顺序的围岩应力变化情况.文献[9 -10 ]中在Burgers模型条件下,探究了围岩压力和应力释放率、地应力、支护方案的关系;苏永华等[11 ] 根据Hoek-Brown强度准则,总结了围岩临界软化参数的求解方法,并引入LDP曲线中进行计算.谭代明等[12 ] 、霍晓龙等[13 ] 、Liu等[14 -17 ] 利用不同的数值模拟软件探究不同施工方法、施工顺序、黏弹性围岩参数对隧道安全性的影响,并提出相应的优化方案.卢伟[18 ] 、左清军等[19 ] 、王建等[20 ] 和杨成忠等[21 ] 分别以将军岭隧道、姚家隧道、道吾山特长隧道、长城岭隧道为背景,探究围岩变形的时空效应.总体而言,以往针对黏弹性围岩的研究较少考虑时间效应,更多只针对于空间效应.实际上,软岩隧道在支护施作后仍会产生持续的变形,这是时间效应和空间效应叠加的效果,因此仅考虑空间效应进行支护设计有较大的缺陷. ...
特大断面板岩隧道施工期围岩变形时空效应分析
1
2018
... 由于软岩具有较强的蠕变特性,所以在软岩隧道施工过程中,围岩会同时受到时间效应与空间效应的影响.相关学者分别采用理论解析、数值模拟和现场实测对两种效应展开研究.文献[3 -6 ]中基于三维黏弹性力学解析方法得到了围岩黏弹性本构模型,该模型仅考虑隧道开挖的空间效应;Wang等[7 ] 和Zeng等[8 ] 基于复变函数、保角映射及Laplace变换的方法,探究了考虑隧道开挖顺序的围岩应力变化情况.文献[9 -10 ]中在Burgers模型条件下,探究了围岩压力和应力释放率、地应力、支护方案的关系;苏永华等[11 ] 根据Hoek-Brown强度准则,总结了围岩临界软化参数的求解方法,并引入LDP曲线中进行计算.谭代明等[12 ] 、霍晓龙等[13 ] 、Liu等[14 -17 ] 利用不同的数值模拟软件探究不同施工方法、施工顺序、黏弹性围岩参数对隧道安全性的影响,并提出相应的优化方案.卢伟[18 ] 、左清军等[19 ] 、王建等[20 ] 和杨成忠等[21 ] 分别以将军岭隧道、姚家隧道、道吾山特长隧道、长城岭隧道为背景,探究围岩变形的时空效应.总体而言,以往针对黏弹性围岩的研究较少考虑时间效应,更多只针对于空间效应.实际上,软岩隧道在支护施作后仍会产生持续的变形,这是时间效应和空间效应叠加的效果,因此仅考虑空间效应进行支护设计有较大的缺陷. ...
Analysis of time-space effect for surrounding rock deformation in super-large cross section slate tunnel during construction period
1
2018
... 由于软岩具有较强的蠕变特性,所以在软岩隧道施工过程中,围岩会同时受到时间效应与空间效应的影响.相关学者分别采用理论解析、数值模拟和现场实测对两种效应展开研究.文献[3 -6 ]中基于三维黏弹性力学解析方法得到了围岩黏弹性本构模型,该模型仅考虑隧道开挖的空间效应;Wang等[7 ] 和Zeng等[8 ] 基于复变函数、保角映射及Laplace变换的方法,探究了考虑隧道开挖顺序的围岩应力变化情况.文献[9 -10 ]中在Burgers模型条件下,探究了围岩压力和应力释放率、地应力、支护方案的关系;苏永华等[11 ] 根据Hoek-Brown强度准则,总结了围岩临界软化参数的求解方法,并引入LDP曲线中进行计算.谭代明等[12 ] 、霍晓龙等[13 ] 、Liu等[14 -17 ] 利用不同的数值模拟软件探究不同施工方法、施工顺序、黏弹性围岩参数对隧道安全性的影响,并提出相应的优化方案.卢伟[18 ] 、左清军等[19 ] 、王建等[20 ] 和杨成忠等[21 ] 分别以将军岭隧道、姚家隧道、道吾山特长隧道、长城岭隧道为背景,探究围岩变形的时空效应.总体而言,以往针对黏弹性围岩的研究较少考虑时间效应,更多只针对于空间效应.实际上,软岩隧道在支护施作后仍会产生持续的变形,这是时间效应和空间效应叠加的效果,因此仅考虑空间效应进行支护设计有较大的缺陷. ...
特大断面砂质板岩隧道V级围岩变形时空效应
1
2020
... 由于软岩具有较强的蠕变特性,所以在软岩隧道施工过程中,围岩会同时受到时间效应与空间效应的影响.相关学者分别采用理论解析、数值模拟和现场实测对两种效应展开研究.文献[3 -6 ]中基于三维黏弹性力学解析方法得到了围岩黏弹性本构模型,该模型仅考虑隧道开挖的空间效应;Wang等[7 ] 和Zeng等[8 ] 基于复变函数、保角映射及Laplace变换的方法,探究了考虑隧道开挖顺序的围岩应力变化情况.文献[9 -10 ]中在Burgers模型条件下,探究了围岩压力和应力释放率、地应力、支护方案的关系;苏永华等[11 ] 根据Hoek-Brown强度准则,总结了围岩临界软化参数的求解方法,并引入LDP曲线中进行计算.谭代明等[12 ] 、霍晓龙等[13 ] 、Liu等[14 -17 ] 利用不同的数值模拟软件探究不同施工方法、施工顺序、黏弹性围岩参数对隧道安全性的影响,并提出相应的优化方案.卢伟[18 ] 、左清军等[19 ] 、王建等[20 ] 和杨成忠等[21 ] 分别以将军岭隧道、姚家隧道、道吾山特长隧道、长城岭隧道为背景,探究围岩变形的时空效应.总体而言,以往针对黏弹性围岩的研究较少考虑时间效应,更多只针对于空间效应.实际上,软岩隧道在支护施作后仍会产生持续的变形,这是时间效应和空间效应叠加的效果,因此仅考虑空间效应进行支护设计有较大的缺陷. ...
Temporal and spatial effects of V-type surrounding rock deformation in extra large section sandy slate tunnel
1
2020
... 由于软岩具有较强的蠕变特性,所以在软岩隧道施工过程中,围岩会同时受到时间效应与空间效应的影响.相关学者分别采用理论解析、数值模拟和现场实测对两种效应展开研究.文献[3 -6 ]中基于三维黏弹性力学解析方法得到了围岩黏弹性本构模型,该模型仅考虑隧道开挖的空间效应;Wang等[7 ] 和Zeng等[8 ] 基于复变函数、保角映射及Laplace变换的方法,探究了考虑隧道开挖顺序的围岩应力变化情况.文献[9 -10 ]中在Burgers模型条件下,探究了围岩压力和应力释放率、地应力、支护方案的关系;苏永华等[11 ] 根据Hoek-Brown强度准则,总结了围岩临界软化参数的求解方法,并引入LDP曲线中进行计算.谭代明等[12 ] 、霍晓龙等[13 ] 、Liu等[14 -17 ] 利用不同的数值模拟软件探究不同施工方法、施工顺序、黏弹性围岩参数对隧道安全性的影响,并提出相应的优化方案.卢伟[18 ] 、左清军等[19 ] 、王建等[20 ] 和杨成忠等[21 ] 分别以将军岭隧道、姚家隧道、道吾山特长隧道、长城岭隧道为背景,探究围岩变形的时空效应.总体而言,以往针对黏弹性围岩的研究较少考虑时间效应,更多只针对于空间效应.实际上,软岩隧道在支护施作后仍会产生持续的变形,这是时间效应和空间效应叠加的效果,因此仅考虑空间效应进行支护设计有较大的缺陷. ...
大断面软岩隧道开挖空间效应影响分析
1
2021
... 由于软岩具有较强的蠕变特性,所以在软岩隧道施工过程中,围岩会同时受到时间效应与空间效应的影响.相关学者分别采用理论解析、数值模拟和现场实测对两种效应展开研究.文献[3 -6 ]中基于三维黏弹性力学解析方法得到了围岩黏弹性本构模型,该模型仅考虑隧道开挖的空间效应;Wang等[7 ] 和Zeng等[8 ] 基于复变函数、保角映射及Laplace变换的方法,探究了考虑隧道开挖顺序的围岩应力变化情况.文献[9 -10 ]中在Burgers模型条件下,探究了围岩压力和应力释放率、地应力、支护方案的关系;苏永华等[11 ] 根据Hoek-Brown强度准则,总结了围岩临界软化参数的求解方法,并引入LDP曲线中进行计算.谭代明等[12 ] 、霍晓龙等[13 ] 、Liu等[14 -17 ] 利用不同的数值模拟软件探究不同施工方法、施工顺序、黏弹性围岩参数对隧道安全性的影响,并提出相应的优化方案.卢伟[18 ] 、左清军等[19 ] 、王建等[20 ] 和杨成忠等[21 ] 分别以将军岭隧道、姚家隧道、道吾山特长隧道、长城岭隧道为背景,探究围岩变形的时空效应.总体而言,以往针对黏弹性围岩的研究较少考虑时间效应,更多只针对于空间效应.实际上,软岩隧道在支护施作后仍会产生持续的变形,这是时间效应和空间效应叠加的效果,因此仅考虑空间效应进行支护设计有较大的缺陷. ...
Analysis on influence of spacial effect on excavation of soft rock tunnel with large cross section
1
2021
... 由于软岩具有较强的蠕变特性,所以在软岩隧道施工过程中,围岩会同时受到时间效应与空间效应的影响.相关学者分别采用理论解析、数值模拟和现场实测对两种效应展开研究.文献[3 -6 ]中基于三维黏弹性力学解析方法得到了围岩黏弹性本构模型,该模型仅考虑隧道开挖的空间效应;Wang等[7 ] 和Zeng等[8 ] 基于复变函数、保角映射及Laplace变换的方法,探究了考虑隧道开挖顺序的围岩应力变化情况.文献[9 -10 ]中在Burgers模型条件下,探究了围岩压力和应力释放率、地应力、支护方案的关系;苏永华等[11 ] 根据Hoek-Brown强度准则,总结了围岩临界软化参数的求解方法,并引入LDP曲线中进行计算.谭代明等[12 ] 、霍晓龙等[13 ] 、Liu等[14 -17 ] 利用不同的数值模拟软件探究不同施工方法、施工顺序、黏弹性围岩参数对隧道安全性的影响,并提出相应的优化方案.卢伟[18 ] 、左清军等[19 ] 、王建等[20 ] 和杨成忠等[21 ] 分别以将军岭隧道、姚家隧道、道吾山特长隧道、长城岭隧道为背景,探究围岩变形的时空效应.总体而言,以往针对黏弹性围岩的研究较少考虑时间效应,更多只针对于空间效应.实际上,软岩隧道在支护施作后仍会产生持续的变形,这是时间效应和空间效应叠加的效果,因此仅考虑空间效应进行支护设计有较大的缺陷. ...
弹塑性变形条件下围岩-支护相互作用全过程解析
1
2012
... 随着西南地区快速发展,高地应力软弱围岩(简称软岩)成为隧道建设的主要难题之一.高地应力软岩在隧道建设时,常表现出大变形和较强的蠕变特性,给隧道支护设计带来极大的挑战.收敛约束法因理论清晰且经过长期实践的验证,而仍被广泛使用[1 ] .隧道围岩全过程纵向变形曲线(LDP曲线)作为收敛约束法的核心,如何确定具有蠕变特性的围岩全过程纵向变形曲线是解决高地应力软岩隧道设计的关键[2 ] . ...
Analysis of complete process of interaction of surrounding rock and support under elastioplastic deformation condition
1
2012
... 随着西南地区快速发展,高地应力软弱围岩(简称软岩)成为隧道建设的主要难题之一.高地应力软岩在隧道建设时,常表现出大变形和较强的蠕变特性,给隧道支护设计带来极大的挑战.收敛约束法因理论清晰且经过长期实践的验证,而仍被广泛使用[1 ] .隧道围岩全过程纵向变形曲线(LDP曲线)作为收敛约束法的核心,如何确定具有蠕变特性的围岩全过程纵向变形曲线是解决高地应力软岩隧道设计的关键[2 ] . ...
Study on the characteristics of surrounding rock and design of backfill material parameters for tunnels passing through giant caverns and underground rivers
1
2022
... 随着西南地区快速发展,高地应力软弱围岩(简称软岩)成为隧道建设的主要难题之一.高地应力软岩在隧道建设时,常表现出大变形和较强的蠕变特性,给隧道支护设计带来极大的挑战.收敛约束法因理论清晰且经过长期实践的验证,而仍被广泛使用[1 ] .隧道围岩全过程纵向变形曲线(LDP曲线)作为收敛约束法的核心,如何确定具有蠕变特性的围岩全过程纵向变形曲线是解决高地应力软岩隧道设计的关键[2 ] . ...
Time-dependent reliability analysis of deep tunnel in the viscoelastic burger rock with sequential installation of liners
1
2020
... 由于软岩具有较强的蠕变特性,所以在软岩隧道施工过程中,围岩会同时受到时间效应与空间效应的影响.相关学者分别采用理论解析、数值模拟和现场实测对两种效应展开研究.文献[3 -6 ]中基于三维黏弹性力学解析方法得到了围岩黏弹性本构模型,该模型仅考虑隧道开挖的空间效应;Wang等[7 ] 和Zeng等[8 ] 基于复变函数、保角映射及Laplace变换的方法,探究了考虑隧道开挖顺序的围岩应力变化情况.文献[9 -10 ]中在Burgers模型条件下,探究了围岩压力和应力释放率、地应力、支护方案的关系;苏永华等[11 ] 根据Hoek-Brown强度准则,总结了围岩临界软化参数的求解方法,并引入LDP曲线中进行计算.谭代明等[12 ] 、霍晓龙等[13 ] 、Liu等[14 -17 ] 利用不同的数值模拟软件探究不同施工方法、施工顺序、黏弹性围岩参数对隧道安全性的影响,并提出相应的优化方案.卢伟[18 ] 、左清军等[19 ] 、王建等[20 ] 和杨成忠等[21 ] 分别以将军岭隧道、姚家隧道、道吾山特长隧道、长城岭隧道为背景,探究围岩变形的时空效应.总体而言,以往针对黏弹性围岩的研究较少考虑时间效应,更多只针对于空间效应.实际上,软岩隧道在支护施作后仍会产生持续的变形,这是时间效应和空间效应叠加的效果,因此仅考虑空间效应进行支护设计有较大的缺陷. ...
Time-dependent solution for non-circular tunnels considering the elasto-viscoplastic rockmass
0
2020
Time-dependent solutions for lined circular tunnels considering rockbolts reinforcement and face advancement effects
0
2021
Stress-strain calculation method of composite lining considering the creep characteristics of tunnel surrounding rock
1
2021
... 由于软岩具有较强的蠕变特性,所以在软岩隧道施工过程中,围岩会同时受到时间效应与空间效应的影响.相关学者分别采用理论解析、数值模拟和现场实测对两种效应展开研究.文献[3 -6 ]中基于三维黏弹性力学解析方法得到了围岩黏弹性本构模型,该模型仅考虑隧道开挖的空间效应;Wang等[7 ] 和Zeng等[8 ] 基于复变函数、保角映射及Laplace变换的方法,探究了考虑隧道开挖顺序的围岩应力变化情况.文献[9 -10 ]中在Burgers模型条件下,探究了围岩压力和应力释放率、地应力、支护方案的关系;苏永华等[11 ] 根据Hoek-Brown强度准则,总结了围岩临界软化参数的求解方法,并引入LDP曲线中进行计算.谭代明等[12 ] 、霍晓龙等[13 ] 、Liu等[14 -17 ] 利用不同的数值模拟软件探究不同施工方法、施工顺序、黏弹性围岩参数对隧道安全性的影响,并提出相应的优化方案.卢伟[18 ] 、左清军等[19 ] 、王建等[20 ] 和杨成忠等[21 ] 分别以将军岭隧道、姚家隧道、道吾山特长隧道、长城岭隧道为背景,探究围岩变形的时空效应.总体而言,以往针对黏弹性围岩的研究较少考虑时间效应,更多只针对于空间效应.实际上,软岩隧道在支护施作后仍会产生持续的变形,这是时间效应和空间效应叠加的效果,因此仅考虑空间效应进行支护设计有较大的缺陷. ...
Solutions for lined circular tunnels sequentially constructed in rheological rock subjected to non-hydrostatic initial stresses
1
2022
... 由于软岩具有较强的蠕变特性,所以在软岩隧道施工过程中,围岩会同时受到时间效应与空间效应的影响.相关学者分别采用理论解析、数值模拟和现场实测对两种效应展开研究.文献[3 -6 ]中基于三维黏弹性力学解析方法得到了围岩黏弹性本构模型,该模型仅考虑隧道开挖的空间效应;Wang等[7 ] 和Zeng等[8 ] 基于复变函数、保角映射及Laplace变换的方法,探究了考虑隧道开挖顺序的围岩应力变化情况.文献[9 -10 ]中在Burgers模型条件下,探究了围岩压力和应力释放率、地应力、支护方案的关系;苏永华等[11 ] 根据Hoek-Brown强度准则,总结了围岩临界软化参数的求解方法,并引入LDP曲线中进行计算.谭代明等[12 ] 、霍晓龙等[13 ] 、Liu等[14 -17 ] 利用不同的数值模拟软件探究不同施工方法、施工顺序、黏弹性围岩参数对隧道安全性的影响,并提出相应的优化方案.卢伟[18 ] 、左清军等[19 ] 、王建等[20 ] 和杨成忠等[21 ] 分别以将军岭隧道、姚家隧道、道吾山特长隧道、长城岭隧道为背景,探究围岩变形的时空效应.总体而言,以往针对黏弹性围岩的研究较少考虑时间效应,更多只针对于空间效应.实际上,软岩隧道在支护施作后仍会产生持续的变形,这是时间效应和空间效应叠加的效果,因此仅考虑空间效应进行支护设计有较大的缺陷. ...
Analytical solution of displacement and stress induced by the sequential excavation of noncircular tunnels in viscoelastic rock
1
2020
... 由于软岩具有较强的蠕变特性,所以在软岩隧道施工过程中,围岩会同时受到时间效应与空间效应的影响.相关学者分别采用理论解析、数值模拟和现场实测对两种效应展开研究.文献[3 -6 ]中基于三维黏弹性力学解析方法得到了围岩黏弹性本构模型,该模型仅考虑隧道开挖的空间效应;Wang等[7 ] 和Zeng等[8 ] 基于复变函数、保角映射及Laplace变换的方法,探究了考虑隧道开挖顺序的围岩应力变化情况.文献[9 -10 ]中在Burgers模型条件下,探究了围岩压力和应力释放率、地应力、支护方案的关系;苏永华等[11 ] 根据Hoek-Brown强度准则,总结了围岩临界软化参数的求解方法,并引入LDP曲线中进行计算.谭代明等[12 ] 、霍晓龙等[13 ] 、Liu等[14 -17 ] 利用不同的数值模拟软件探究不同施工方法、施工顺序、黏弹性围岩参数对隧道安全性的影响,并提出相应的优化方案.卢伟[18 ] 、左清军等[19 ] 、王建等[20 ] 和杨成忠等[21 ] 分别以将军岭隧道、姚家隧道、道吾山特长隧道、长城岭隧道为背景,探究围岩变形的时空效应.总体而言,以往针对黏弹性围岩的研究较少考虑时间效应,更多只针对于空间效应.实际上,软岩隧道在支护施作后仍会产生持续的变形,这是时间效应和空间效应叠加的效果,因此仅考虑空间效应进行支护设计有较大的缺陷. ...
Analytical solution for lined circular tunnels in deep viscoelastic burgers rock considering the longitudinal discontinuous excavation and sequential installation of liners
1
2021
... 由于软岩具有较强的蠕变特性,所以在软岩隧道施工过程中,围岩会同时受到时间效应与空间效应的影响.相关学者分别采用理论解析、数值模拟和现场实测对两种效应展开研究.文献[3 -6 ]中基于三维黏弹性力学解析方法得到了围岩黏弹性本构模型,该模型仅考虑隧道开挖的空间效应;Wang等[7 ] 和Zeng等[8 ] 基于复变函数、保角映射及Laplace变换的方法,探究了考虑隧道开挖顺序的围岩应力变化情况.文献[9 -10 ]中在Burgers模型条件下,探究了围岩压力和应力释放率、地应力、支护方案的关系;苏永华等[11 ] 根据Hoek-Brown强度准则,总结了围岩临界软化参数的求解方法,并引入LDP曲线中进行计算.谭代明等[12 ] 、霍晓龙等[13 ] 、Liu等[14 -17 ] 利用不同的数值模拟软件探究不同施工方法、施工顺序、黏弹性围岩参数对隧道安全性的影响,并提出相应的优化方案.卢伟[18 ] 、左清军等[19 ] 、王建等[20 ] 和杨成忠等[21 ] 分别以将军岭隧道、姚家隧道、道吾山特长隧道、长城岭隧道为背景,探究围岩变形的时空效应.总体而言,以往针对黏弹性围岩的研究较少考虑时间效应,更多只针对于空间效应.实际上,软岩隧道在支护施作后仍会产生持续的变形,这是时间效应和空间效应叠加的效果,因此仅考虑空间效应进行支护设计有较大的缺陷. ...
Time-dependent analysis of stress components around lined tunnels with circular configuration considering tunnel advancing rate effects
1
2020
... 由于软岩具有较强的蠕变特性,所以在软岩隧道施工过程中,围岩会同时受到时间效应与空间效应的影响.相关学者分别采用理论解析、数值模拟和现场实测对两种效应展开研究.文献[3 -6 ]中基于三维黏弹性力学解析方法得到了围岩黏弹性本构模型,该模型仅考虑隧道开挖的空间效应;Wang等[7 ] 和Zeng等[8 ] 基于复变函数、保角映射及Laplace变换的方法,探究了考虑隧道开挖顺序的围岩应力变化情况.文献[9 -10 ]中在Burgers模型条件下,探究了围岩压力和应力释放率、地应力、支护方案的关系;苏永华等[11 ] 根据Hoek-Brown强度准则,总结了围岩临界软化参数的求解方法,并引入LDP曲线中进行计算.谭代明等[12 ] 、霍晓龙等[13 ] 、Liu等[14 -17 ] 利用不同的数值模拟软件探究不同施工方法、施工顺序、黏弹性围岩参数对隧道安全性的影响,并提出相应的优化方案.卢伟[18 ] 、左清军等[19 ] 、王建等[20 ] 和杨成忠等[21 ] 分别以将军岭隧道、姚家隧道、道吾山特长隧道、长城岭隧道为背景,探究围岩变形的时空效应.总体而言,以往针对黏弹性围岩的研究较少考虑时间效应,更多只针对于空间效应.实际上,软岩隧道在支护施作后仍会产生持续的变形,这是时间效应和空间效应叠加的效果,因此仅考虑空间效应进行支护设计有较大的缺陷. ...
Analysis of convergence behind the face of a tunnel
1
1982
... 在传统的弹性力学中,围岩变形仅需考虑其空间特征.当开挖速度较小时,时间效应可被忽略,本文中的黏弹性围岩位移释放系数解答可退化为弹性解,如图20 所示.取开挖速度为0.2 m/d,将本文计算结果绘制于图20(a) ,不同围岩参数具有一致的空间效应,可用统一的函数分别对掌子面前方和后方的位移释放曲线进行拟合.将计算结果与其他学者[22 -23 ] 所提出的位移释放系数计算方法进行对比,对比情况如图20(b) 所示.本文中黏弹性围岩位移释放系数解答退化后的弹性解与其他学者所提出的弹性结果重合度较高,表明了本文拟合函数的可靠性.然而既有公式均未考虑时间效应,与黏弹性洞周位移规律有较大偏差.因此,本文所确定的位移释放系数可更好地反映黏弹性洞周位移规律,保证隧道支护设计的安全性和科学性. ...
Contribution à la méthode convergence-confinement par le principe de la similitude
1
1991
... 在传统的弹性力学中,围岩变形仅需考虑其空间特征.当开挖速度较小时,时间效应可被忽略,本文中的黏弹性围岩位移释放系数解答可退化为弹性解,如图20 所示.取开挖速度为0.2 m/d,将本文计算结果绘制于图20(a) ,不同围岩参数具有一致的空间效应,可用统一的函数分别对掌子面前方和后方的位移释放曲线进行拟合.将计算结果与其他学者[22 -23 ] 所提出的位移释放系数计算方法进行对比,对比情况如图20(b) 所示.本文中黏弹性围岩位移释放系数解答退化后的弹性解与其他学者所提出的弹性结果重合度较高,表明了本文拟合函数的可靠性.然而既有公式均未考虑时间效应,与黏弹性洞周位移规律有较大偏差.因此,本文所确定的位移释放系数可更好地反映黏弹性洞周位移规律,保证隧道支护设计的安全性和科学性. ...
基于Hoek-Brown软化模型的支护结构稳定性分析
1
2020
... 由于软岩具有较强的蠕变特性,所以在软岩隧道施工过程中,围岩会同时受到时间效应与空间效应的影响.相关学者分别采用理论解析、数值模拟和现场实测对两种效应展开研究.文献[3 -6 ]中基于三维黏弹性力学解析方法得到了围岩黏弹性本构模型,该模型仅考虑隧道开挖的空间效应;Wang等[7 ] 和Zeng等[8 ] 基于复变函数、保角映射及Laplace变换的方法,探究了考虑隧道开挖顺序的围岩应力变化情况.文献[9 -10 ]中在Burgers模型条件下,探究了围岩压力和应力释放率、地应力、支护方案的关系;苏永华等[11 ] 根据Hoek-Brown强度准则,总结了围岩临界软化参数的求解方法,并引入LDP曲线中进行计算.谭代明等[12 ] 、霍晓龙等[13 ] 、Liu等[14 -17 ] 利用不同的数值模拟软件探究不同施工方法、施工顺序、黏弹性围岩参数对隧道安全性的影响,并提出相应的优化方案.卢伟[18 ] 、左清军等[19 ] 、王建等[20 ] 和杨成忠等[21 ] 分别以将军岭隧道、姚家隧道、道吾山特长隧道、长城岭隧道为背景,探究围岩变形的时空效应.总体而言,以往针对黏弹性围岩的研究较少考虑时间效应,更多只针对于空间效应.实际上,软岩隧道在支护施作后仍会产生持续的变形,这是时间效应和空间效应叠加的效果,因此仅考虑空间效应进行支护设计有较大的缺陷. ...
Stability analysis of support structure based on Hoek-Brown strain-softening model
1
2020
... 由于软岩具有较强的蠕变特性,所以在软岩隧道施工过程中,围岩会同时受到时间效应与空间效应的影响.相关学者分别采用理论解析、数值模拟和现场实测对两种效应展开研究.文献[3 -6 ]中基于三维黏弹性力学解析方法得到了围岩黏弹性本构模型,该模型仅考虑隧道开挖的空间效应;Wang等[7 ] 和Zeng等[8 ] 基于复变函数、保角映射及Laplace变换的方法,探究了考虑隧道开挖顺序的围岩应力变化情况.文献[9 -10 ]中在Burgers模型条件下,探究了围岩压力和应力释放率、地应力、支护方案的关系;苏永华等[11 ] 根据Hoek-Brown强度准则,总结了围岩临界软化参数的求解方法,并引入LDP曲线中进行计算.谭代明等[12 ] 、霍晓龙等[13 ] 、Liu等[14 -17 ] 利用不同的数值模拟软件探究不同施工方法、施工顺序、黏弹性围岩参数对隧道安全性的影响,并提出相应的优化方案.卢伟[18 ] 、左清军等[19 ] 、王建等[20 ] 和杨成忠等[21 ] 分别以将军岭隧道、姚家隧道、道吾山特长隧道、长城岭隧道为背景,探究围岩变形的时空效应.总体而言,以往针对黏弹性围岩的研究较少考虑时间效应,更多只针对于空间效应.实际上,软岩隧道在支护施作后仍会产生持续的变形,这是时间效应和空间效应叠加的效果,因此仅考虑空间效应进行支护设计有较大的缺陷. ...
考虑时空效应的软弱围岩隧道施工稳定性研究
1
2009
... 由于软岩具有较强的蠕变特性,所以在软岩隧道施工过程中,围岩会同时受到时间效应与空间效应的影响.相关学者分别采用理论解析、数值模拟和现场实测对两种效应展开研究.文献[3 -6 ]中基于三维黏弹性力学解析方法得到了围岩黏弹性本构模型,该模型仅考虑隧道开挖的空间效应;Wang等[7 ] 和Zeng等[8 ] 基于复变函数、保角映射及Laplace变换的方法,探究了考虑隧道开挖顺序的围岩应力变化情况.文献[9 -10 ]中在Burgers模型条件下,探究了围岩压力和应力释放率、地应力、支护方案的关系;苏永华等[11 ] 根据Hoek-Brown强度准则,总结了围岩临界软化参数的求解方法,并引入LDP曲线中进行计算.谭代明等[12 ] 、霍晓龙等[13 ] 、Liu等[14 -17 ] 利用不同的数值模拟软件探究不同施工方法、施工顺序、黏弹性围岩参数对隧道安全性的影响,并提出相应的优化方案.卢伟[18 ] 、左清军等[19 ] 、王建等[20 ] 和杨成忠等[21 ] 分别以将军岭隧道、姚家隧道、道吾山特长隧道、长城岭隧道为背景,探究围岩变形的时空效应.总体而言,以往针对黏弹性围岩的研究较少考虑时间效应,更多只针对于空间效应.实际上,软岩隧道在支护施作后仍会产生持续的变形,这是时间效应和空间效应叠加的效果,因此仅考虑空间效应进行支护设计有较大的缺陷. ...
Study on construction stability of soft surrounding rock tunnel considering time-space effect
1
2009
... 由于软岩具有较强的蠕变特性,所以在软岩隧道施工过程中,围岩会同时受到时间效应与空间效应的影响.相关学者分别采用理论解析、数值模拟和现场实测对两种效应展开研究.文献[3 -6 ]中基于三维黏弹性力学解析方法得到了围岩黏弹性本构模型,该模型仅考虑隧道开挖的空间效应;Wang等[7 ] 和Zeng等[8 ] 基于复变函数、保角映射及Laplace变换的方法,探究了考虑隧道开挖顺序的围岩应力变化情况.文献[9 -10 ]中在Burgers模型条件下,探究了围岩压力和应力释放率、地应力、支护方案的关系;苏永华等[11 ] 根据Hoek-Brown强度准则,总结了围岩临界软化参数的求解方法,并引入LDP曲线中进行计算.谭代明等[12 ] 、霍晓龙等[13 ] 、Liu等[14 -17 ] 利用不同的数值模拟软件探究不同施工方法、施工顺序、黏弹性围岩参数对隧道安全性的影响,并提出相应的优化方案.卢伟[18 ] 、左清军等[19 ] 、王建等[20 ] 和杨成忠等[21 ] 分别以将军岭隧道、姚家隧道、道吾山特长隧道、长城岭隧道为背景,探究围岩变形的时空效应.总体而言,以往针对黏弹性围岩的研究较少考虑时间效应,更多只针对于空间效应.实际上,软岩隧道在支护施作后仍会产生持续的变形,这是时间效应和空间效应叠加的效果,因此仅考虑空间效应进行支护设计有较大的缺陷. ...
唐家山隧道施工特性及时空效应研究
1
2012
... 由于软岩具有较强的蠕变特性,所以在软岩隧道施工过程中,围岩会同时受到时间效应与空间效应的影响.相关学者分别采用理论解析、数值模拟和现场实测对两种效应展开研究.文献[3 -6 ]中基于三维黏弹性力学解析方法得到了围岩黏弹性本构模型,该模型仅考虑隧道开挖的空间效应;Wang等[7 ] 和Zeng等[8 ] 基于复变函数、保角映射及Laplace变换的方法,探究了考虑隧道开挖顺序的围岩应力变化情况.文献[9 -10 ]中在Burgers模型条件下,探究了围岩压力和应力释放率、地应力、支护方案的关系;苏永华等[11 ] 根据Hoek-Brown强度准则,总结了围岩临界软化参数的求解方法,并引入LDP曲线中进行计算.谭代明等[12 ] 、霍晓龙等[13 ] 、Liu等[14 -17 ] 利用不同的数值模拟软件探究不同施工方法、施工顺序、黏弹性围岩参数对隧道安全性的影响,并提出相应的优化方案.卢伟[18 ] 、左清军等[19 ] 、王建等[20 ] 和杨成忠等[21 ] 分别以将军岭隧道、姚家隧道、道吾山特长隧道、长城岭隧道为背景,探究围岩变形的时空效应.总体而言,以往针对黏弹性围岩的研究较少考虑时间效应,更多只针对于空间效应.实际上,软岩隧道在支护施作后仍会产生持续的变形,这是时间效应和空间效应叠加的效果,因此仅考虑空间效应进行支护设计有较大的缺陷. ...
Study on construction characteristic and temporal-spatial effect of Tangjiashan tunnel
1
2012
... 由于软岩具有较强的蠕变特性,所以在软岩隧道施工过程中,围岩会同时受到时间效应与空间效应的影响.相关学者分别采用理论解析、数值模拟和现场实测对两种效应展开研究.文献[3 -6 ]中基于三维黏弹性力学解析方法得到了围岩黏弹性本构模型,该模型仅考虑隧道开挖的空间效应;Wang等[7 ] 和Zeng等[8 ] 基于复变函数、保角映射及Laplace变换的方法,探究了考虑隧道开挖顺序的围岩应力变化情况.文献[9 -10 ]中在Burgers模型条件下,探究了围岩压力和应力释放率、地应力、支护方案的关系;苏永华等[11 ] 根据Hoek-Brown强度准则,总结了围岩临界软化参数的求解方法,并引入LDP曲线中进行计算.谭代明等[12 ] 、霍晓龙等[13 ] 、Liu等[14 -17 ] 利用不同的数值模拟软件探究不同施工方法、施工顺序、黏弹性围岩参数对隧道安全性的影响,并提出相应的优化方案.卢伟[18 ] 、左清军等[19 ] 、王建等[20 ] 和杨成忠等[21 ] 分别以将军岭隧道、姚家隧道、道吾山特长隧道、长城岭隧道为背景,探究围岩变形的时空效应.总体而言,以往针对黏弹性围岩的研究较少考虑时间效应,更多只针对于空间效应.实际上,软岩隧道在支护施作后仍会产生持续的变形,这是时间效应和空间效应叠加的效果,因此仅考虑空间效应进行支护设计有较大的缺陷. ...
Interaction analysis between composite supports and rheological rock considering progressive hardening characteristic of shotcrete
1
2023
... 由于软岩具有较强的蠕变特性,所以在软岩隧道施工过程中,围岩会同时受到时间效应与空间效应的影响.相关学者分别采用理论解析、数值模拟和现场实测对两种效应展开研究.文献[3 -6 ]中基于三维黏弹性力学解析方法得到了围岩黏弹性本构模型,该模型仅考虑隧道开挖的空间效应;Wang等[7 ] 和Zeng等[8 ] 基于复变函数、保角映射及Laplace变换的方法,探究了考虑隧道开挖顺序的围岩应力变化情况.文献[9 -10 ]中在Burgers模型条件下,探究了围岩压力和应力释放率、地应力、支护方案的关系;苏永华等[11 ] 根据Hoek-Brown强度准则,总结了围岩临界软化参数的求解方法,并引入LDP曲线中进行计算.谭代明等[12 ] 、霍晓龙等[13 ] 、Liu等[14 -17 ] 利用不同的数值模拟软件探究不同施工方法、施工顺序、黏弹性围岩参数对隧道安全性的影响,并提出相应的优化方案.卢伟[18 ] 、左清军等[19 ] 、王建等[20 ] 和杨成忠等[21 ] 分别以将军岭隧道、姚家隧道、道吾山特长隧道、长城岭隧道为背景,探究围岩变形的时空效应.总体而言,以往针对黏弹性围岩的研究较少考虑时间效应,更多只针对于空间效应.实际上,软岩隧道在支护施作后仍会产生持续的变形,这是时间效应和空间效应叠加的效果,因此仅考虑空间效应进行支护设计有较大的缺陷. ...
Long-term mechanical analysis of tunnel structures in rheological rock considering the degradation of primary lining
2
2023
... 由于不考虑重力作用,模型(见图3 )可以选取1/4进行模拟分析.现有理论认为空间效应只存在于10倍隧道半径以内[15 ] ,因此选择隧道的开挖半径为3 m,模型的水平和和竖直方向均为10倍洞径(30 m),纵向长度为100 m.根据隧道的实际情况,模型上方以外的边界均设置为固定边界,地应力可按照相应的梯度施加在模型节点上. ...
... 在掌子面的后方,隧道10倍开挖半径内的围岩同时受到时间和空间效应的影响[15 ] ,因此为准确分析围岩变形特征,本文将原曲线分为3类展开分析. ...