黏弹性围岩纵向变形曲线及其释放系数演化规律 |
| 王嘉琛, 孟令赞, 张顶立, 卢松, 文明 |
|
Evolution Law of Longitudinal Deformation Curve and Release Coefficient of Viscoelastic Rock |
| WANG Jiachen, MENG Lingzan, ZHANG Dingli, LU Song, WEN Ming |
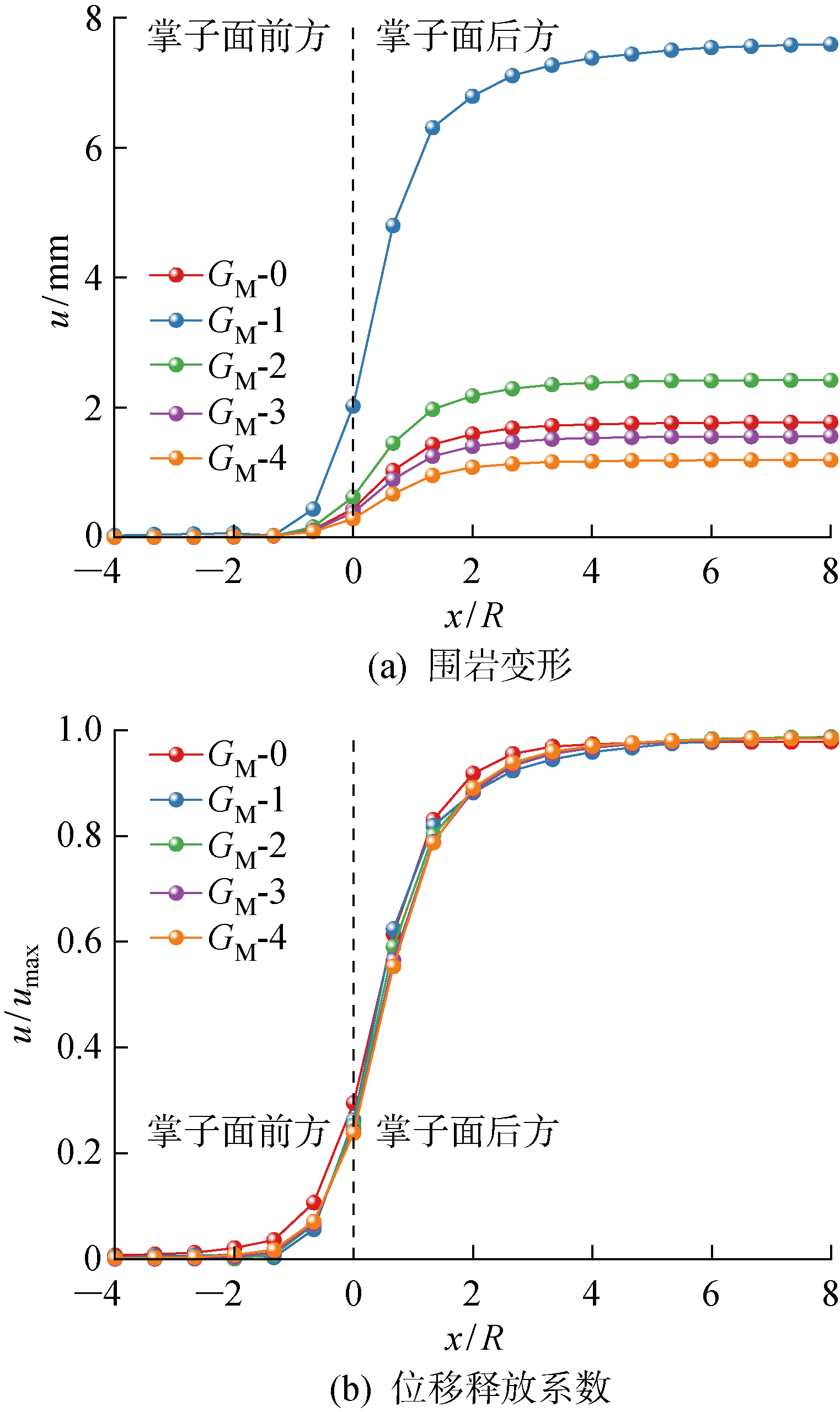
| 图7 Maxwell切变模量GM的影响 |
| Fig.7 Effect of Maxwell shear modulus (GM) |
|