上海交通大学学报 ›› 2025, Vol. 59 ›› Issue (5): 637-647.doi: 10.16183/j.cnki.jsjtu.2023.256
收稿日期:2023-06-19
修回日期:2023-08-12
接受日期:2023-08-17
出版日期:2025-05-28
发布日期:2023-08-28
作者简介:刘宏升(1978—),教授,博士生导师,从事多孔介质燃烧技术研究,电话(Tel.):0411-84706902;E-mail:lhsh@dlut.edu.cn.
基金资助:
LIU Hongsheng1(
), LIANG Xiaoyan1, XU Yichen2, XIE Maozhao1
Received:2023-06-19
Revised:2023-08-12
Accepted:2023-08-17
Online:2025-05-28
Published:2023-08-28
摘要:
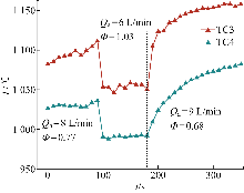
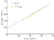
为探索多孔介质内液体燃料燃烧特性,设计并搭建了基于空气雾化型供油方式的多孔介质液体燃烧系统,采用电预热点火方式成功实现了柴油喷雾的长时间自维持稳定燃烧和火焰定位.实验研究了柴油喷雾在球堆积床型多孔介质内燃烧的火焰特性与温度场变化规律,讨论了空气流量、喷油量对温度分布的影响.实验结果表明:电预热系统具有良好的稳定性和可重复性,维持稳定燃烧所需的最低预热温度为719.2 ℃;在着火阶段和稳定燃烧阶段观察到了不同形态的火焰结构;燃烧器具有良好的温度响应性能;实现空气雾化柴油稳定燃烧的最佳当量比应在0.63~0.84之间.
中图分类号:
刘宏升, 梁晓艳, 徐奕辰, 解茂昭. 空气雾化柴油在多孔介质内稳定燃烧的实验研究[J]. 上海交通大学学报, 2025, 59(5): 637-647.
LIU Hongsheng, LIANG Xiaoyan, XU Yichen, XIE Maozhao. Experimental Study on Stable Combustion of Air Atomized Diesel in Porous Media[J]. Journal of Shanghai Jiao Tong University, 2025, 59(5): 637-647.
| [1] | MUJEEBU M A, ABDULLAH M Z, BAKAR M Z A, et al. Applications of porous media combustion technology—A review[J]. Applied Energy, 2009, 86(9): 1365-1375. |
| [2] | 许胜, 刘明侯, 徐侃, 等. 多孔介质钝体火焰稳定特性实验研究[J]. 中国科学技术大学学报, 2011, 41(5): 445-451. |
| XU Sheng, LIU Minghou, XU Kan, et al. Experimental study on flame stability of bluff body in Porous medium[J]. Journal of China University of Science and Technology, 2011, 41(5): 445-451. | |
| [3] | WEINBERG F J. Combustion temperatures: The future?[J]. Nature, 1971, 233(5317): 239-241. |
| [4] | CHAO C Y, WANG J H, KONG W. Effects of fuel properties on the combustion behavior of different types of porous beds soaked with combustible liquid[J]. International Journal of Heat and Mass Transfer, 2004, 47(24): 5201-5210. |
| [5] | BABKIN V S, KORZHAVIN A A, BUNEV V A. Propagation of premixed gaseous explosion flames in porous media[J]. Combustion and Flame, 1991, 87(2): 182-190. |
| [6] | DAI H. Efficient lean combustion in a novel porous medium burner with the integrated of pellets and ceramic foam: Experimental study of flame propagation and stability[J]. Combustion and Flame, 2022, 244: 112244. |
| [7] | KAPLAN M, HALL M J. The combustion of liquid fuels within a porous media radiant burner[J]. Experimental Thermal and Fluid Science, 1995, 11(1): 13-20. |
| [8] | TAKAMI H, SUZUKI T, ITAYA Y, et al. Performance of flammability of kerosene and NOx emission in the porous burner[J]. Fuel, 1998, 77(3): 165-171. |
| [9] | LI Y H, CHAO Y C, DUNN-RANKIN D. Combustion in a meso-scale liquid-fuel-film combustor with central-porous fuel inlet[J]. Combustion Science and Technology, 2008, 180(10/11): 1900-1919. |
| [10] | CHEN X, LI J, FENG M, et al. Flame stability and combustion characteristics of liquid fuel in a meso-scale burner with porous media[J]. Fuel, 2019, 251: 249-259. |
| [11] | LI J W, HUANG J H, YAN M, et al. Experimental study of n-heptane/air combustion in meso-scale burners with porous media[J]. Experimental Thermal and Fluid Science, 2014, 52: 47-58. |
| [12] | KIM Y J, LEE D K, KIM Y. Experimental study on combustion instability and attenuation characteristics in the lab-scale gas turbine combustor with a sponge-like porous medium[J]. Journal of Mechanical Science and Technology, 2018, 32: 1879-1887. |
| [13] | DURST F, WECLAS M. A new type of internal combustion engine based on the porous-medium combustion technique[J]. Proceedings of the Institution of Mechanical Engineers, Part D: Journal of Automobile Engineering, 2001, 215(1): 63-81. |
| [14] | ZENG H, WANG Y, SHI Y, et al. Biogas-fueled flame fuel cell for micro-combined heat and power system[J]. Energy Conversion and Management, 2017, 148: 701-707. |
| [15] | LIU H, WU D, XIE M, et al. Experimental study on the pre-evaporation pulse combustion of liquid fuel within a porous medium burner[J]. Experimental Thermal and Fluid Science, 2019, 103: 286-294. |
| [1] | 林奕霖, 王晔, 陈成成, 蔡爱峰, 杨光, 吴静怡. 双层金属网幕泡破压力特性的实验研究[J]. 上海交通大学学报, 2025, 59(5): 628-636. |
| [2] | 范博超, 张刚, 齐江龙, 杜云祥. 燃烧室声腔模态特性影响因素研究[J]. 空天防御, 2024, 7(3): 72-78. |
| [3] | 胡亚元,王超. 双应力变量的饱和介质非线性体积本构关系[J]. 上海交通大学学报, 2019, 53(7): 797-804. |
| [4] | 刘宏升,王松祥,刘林,姜霖松,解茂昭. 电预热多孔介质燃烧器内柴油燃烧的实验研究[J]. 上海交通大学学报, 2019, 53(10): 1203-1209. |
| [5] | 刘宏升1,姜霖松1,吴丹2,解茂昭1. 基于大涡模拟的三维随机球堆积床内湍流流动特性[J]. 上海交通大学学报(自然版), 2018, 52(9): 1050-1057. |
| [6] | 邹旭毛,李良星,孔刘波,王华胜. 颗粒堆积床内两相流动阻力及相间摩擦力[J]. 上海交通大学学报(自然版), 2017, 51(4): 470-. |
| [7] | 刘宏升,续真杰,解茂昭,姜霖松. 多孔介质内气/液燃料过滤燃烧的试验[J]. 上海交通大学学报(自然版), 2015, 49(01): 122-128. |
| 阅读次数 | ||||||
|
全文 |
|
|||||
|
摘要 |
|
|||||