上海交通大学学报 ›› 2025, Vol. 59 ›› Issue (5): 617-627.doi: 10.16183/j.cnki.jsjtu.2023.378
收稿日期:2023-08-09
修回日期:2023-11-10
接受日期:2023-11-17
出版日期:2025-05-28
发布日期:2025-06-05
通讯作者:
龚 帅,副教授,博士生导师;E-mail: shuaigong@sjtu.edu.cn.
作者简介:马莎莎(1998—),硕士生,从事微纳尺度汽液相变传热机理研究.
基金资助:
MA Shasha, DING Shengjie, LIU Limin, ZHAO Changying, GU Hanyang, GONG Shuai(
)
Received:2023-08-09
Revised:2023-11-10
Accepted:2023-11-17
Online:2025-05-28
Published:2025-06-05
摘要:
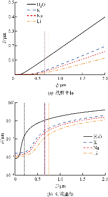
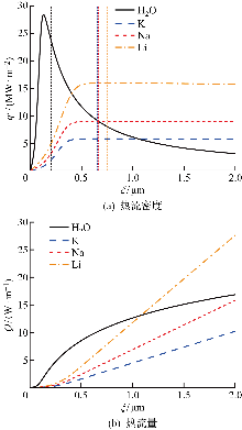
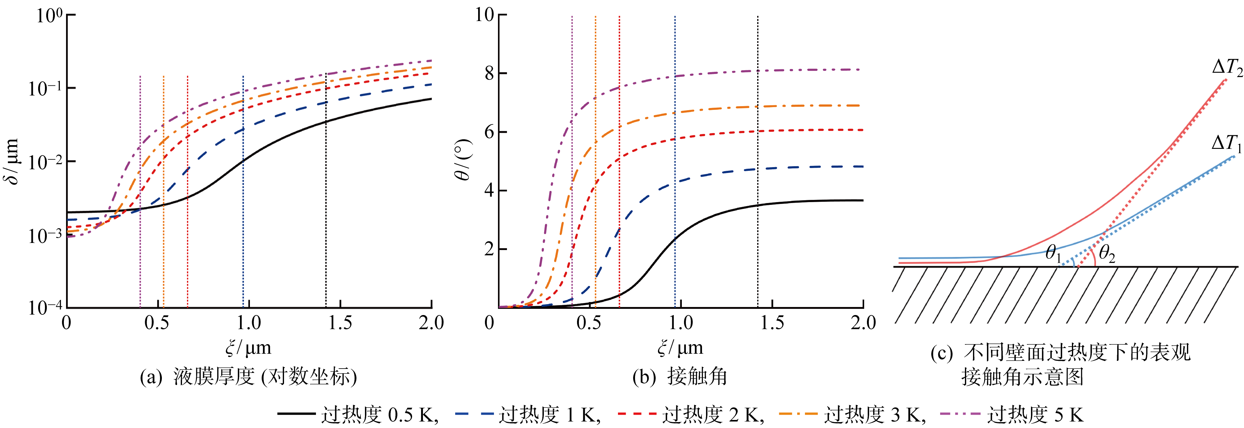
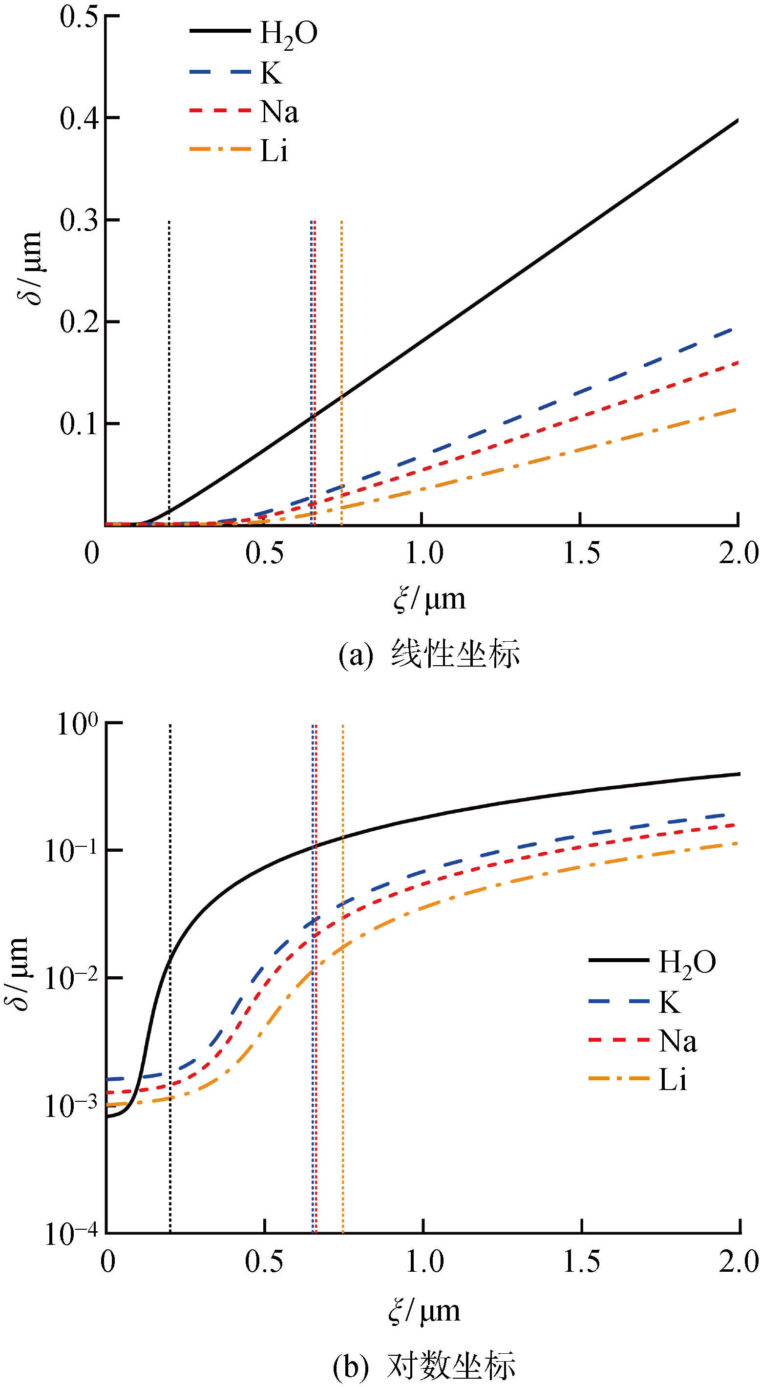
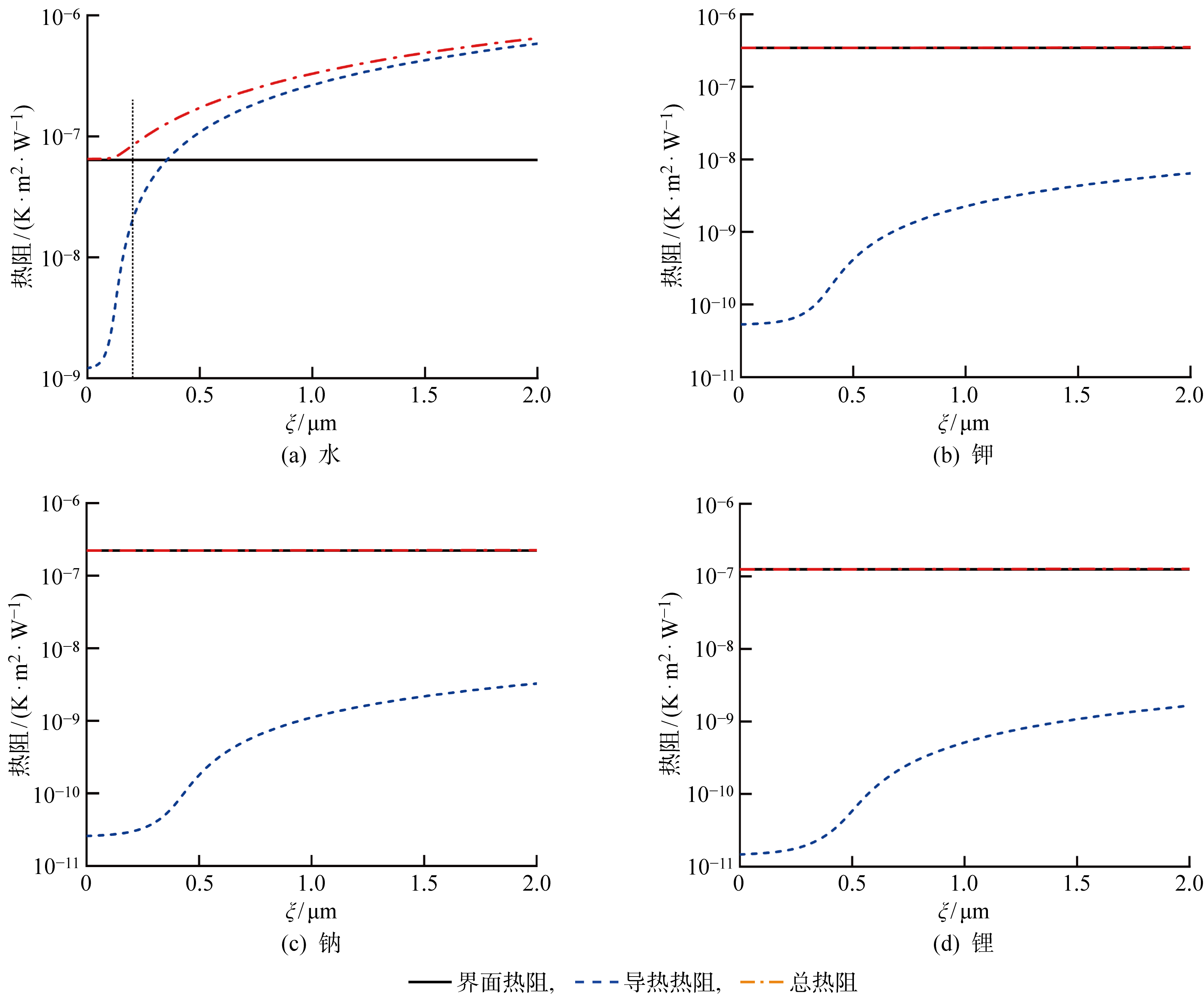
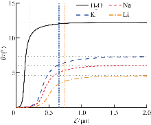
为深入理解高温碱金属热管吸液芯内汽液相变的微观传热机理,采用接触线传热模型对不同碱金属工质(钾、钠、锂)的蒸发弯月面区域微观传热特性进行了研究.计算得到了钾、钠、锂在同一饱和汽相压力和壁面过热度下蒸发弯月面区域的液膜厚度、接触角、界面温度、热流密度分布等.研究结果表明,由于碱金属工质钾、钠、锂的导热系数远高于水,其微观传热特性与水显著不同;汽液界面蒸发热阻是碱金属工质在三相接触线附近微观区域内主导的传热热阻,钾、钠、锂的微观传热性能依次增强;吸附液膜的厚度、表观接触角和液膜压力梯度均随着壁面过热度的增加而自适应调节,其中吸附液膜厚度降低,表观接触角增加、液膜压力梯度增加.在吸附液层区,分离压力占据主导地位,导致了非蒸发吸附液层的形成;在薄液膜区,分离压力和毛细压力的共同作用提供了补液所需的压力梯度;在本征弯月面区,汽液界面的曲率几乎维持不变,毛细压力占主导.
中图分类号:
马莎莎, 丁圣洁, 刘利民, 赵长颖, 顾汉洋, 龚帅. 高温热管碱金属工质的蒸发弯月面区域微观传热特性[J]. 上海交通大学学报, 2025, 59(5): 617-627.
MA Shasha, DING Shengjie, LIU Limin, ZHAO Changying, GU Hanyang, GONG Shuai. Micro-Scale Heat Transfer Characteristics of Evaporating Meniscus for Alkali Metals in High-Temperature Heat Pipes[J]. Journal of Shanghai Jiao Tong University, 2025, 59(5): 617-627.
表1
水、钾、钠及锂的物性参数 (pv = 1 atm)
| 水参数 | 取值 | 水参数 | 取值 |
|---|---|---|---|
| Tsat /K | 373.15 | ρl/(kg·m-3) | 958.35 |
| A/J | 6.45×10-21 | μl /(Pa·s) | 2.82×10-4 |
| 1 | ρv/(kg·m-3) | 0.598 1 | |
| σ/(N·m-1) | 0.058 9 | λl/(W·m-1·K-1) | 0.679 1 |
| hlv/(J·kg-1) | 2.256 5×106 | Rg/(J·kg-1·K-1) | 461.89 |
| 碱金属参数 | 取值 | ||
| 钾 | 钠 | 锂 | |
| Tsat/K | 1 032.40 | 1 159.30 | 1 616.80 |
| A/J | 1.0×10-20 | 1.0×10-20 | 1.0×10-20 |
| 1 | 1 | 1 | |
| σ/(N·m-1) | 0.072 0 | 0.116 1 | 0.236 5 |
| hlv/(J·kg-1) | 1.870 0×106 | 3.867 1×106 | 1.927 8×107 |
| ρl/(kg·m-3) | 663.49 | 739.82 | 399.60 |
| μl/(Pa·s) | 1.30×10-4 | 1.56×10-4 | 1.61×10-4 |
| ρv/(kg·m-3) | 0.506 4 | 0.283 9 | 0.060 8 |
| λl/(W·m-1·K-1) | 30.259 4 | 48.933 8 | 69.002 9 |
| Rg/(J·kg-1·K-1) | 212.63 | 361.48 | 1 204.93 |
| [1] |
卫光仁, 柴宝华, 韩冶, 等. 高温钠热管传热性能试验研究[J]. 原子能科学技术, 2021, 55(6): 1039-1046.
doi: 10.7538/yzk.2021.youxian.0115 |
|
WEI Guangren, CHAI Baohua, HAN Ye, et al. Experimental study on heat transfer performance of high temperature sodium heat pipe[J]. Atomic Energy Science and Technology, 2021, 55(6): 1039-1046.
doi: 10.7538/yzk.2021.youxian.0115 |
|
| [2] | 余清远, 赵鹏程, 马誉高. 基于CFD方法的高温热管特性研究[J]. 核动力工程, 2022, 43(2): 70-76. |
| YU Qingyuan, ZHAO Pengcheng, MA Yugao. CFD analysis on characteristics of high temperature heat pipe[J]. Nuclear Power Engineering, 2022, 43(2): 70-76. | |
| [3] | 刘逍, 田智星, 王成龙, 等. 高温热管传热特性实验研究[J]. 核动力工程, 2020(Sup.1): 106-111. |
| LIU Xiao, TIAN Zhixing, WANG Chenglong, et al. Experimental study on heat transfer performance of high temperature potassium heat pipe[J]. Nuclear Power Engineering, 2020(Sup.1): 106-111. | |
| [4] | MANOJ R, KUMAR M, NARASIMHARAO R, et al. Performance evaluation of sodium heat pipe through parametric studies[J]. Frontiers in Heat Pipes, 2013, 3(4): 3003-3011. |
| [5] | CISTERNA L H, VITTO G, CARDOSO M C, et al. Charging procedures: Effects on high temperature sodium thermosyphon performance[J]. Journal of the Brazilian Society of Mechanical Sciences and Engineering, 2020(42): 416-426. |
| [6] | 田智星, 王成龙, 黄金露, 等. 热管冷却反应堆中高温钠热管传热极限实验研究[C]// 中国核科学技术进展报告(第七卷)——中国核学会2021年学术年会论文集第2册. 北京: 中国原子能出版社, 2022: 187-194. |
| TIAN Zhixing, WANG Chenglong, HUANG Jinlu, et al. Experimental investigation on heat transfer limit of high-temperature sodium heat pipe[C]// Report on Advances in China Nuclear Science and Technology (Volume 7)—Proceedings of the 2021 Academic Annual Conference of the Chinese Nuclear Society, Volume 2. Beijing, China: China Atomic Energy Press, 2022: 187-194. | |
| [7] | HU G, HU R, ZOU L. Development of heat pipe reactor modeling in SAM[R]. Chicago, USA: Nuclear Science and Engineering Division, Argonne National Laboratory, 2019. |
| [8] | PANDA K, DULERA I, BASAK A. Numerical simulation of high temperature sodium heat pipe for passive heat removal in nuclear reactors[J]. Nuclear Engineering and Design, 2017(323): 376-385. |
| [9] |
秋穗正, 张泽秦, 张智鹏, 等. 海洋静默式热管反应堆热工水力特性研究[J]. 原子能科学技术, 2022, 56(6): 989-1004.
doi: 10.7538/yzk.2022.youxian.0339 |
|
QIU Suizheng, ZHANG Zeqin, ZHANG Zhipeng, et al. Study on thermal-hydraulic characteristics of ocean silent heat pipe cooled reactor[J]. Atomic Energy Science and Technology, 2022, 56(6): 989-1004.
doi: 10.7538/yzk.2022.youxian.0339 |
|
| [10] | 白冰鹤. 高温热管内部流动相变强化传热研究[D]. 北京: 华北电力大学, 2021. |
| BAI Binghe. Research on internal flow-phase change and heat transfer enhancement of high temperature heat pipe[D]. Beijing: North China Electric Power University, 2021. | |
| [11] | SHI S, LIU Y, YILGOR I, et al. A two-phase three-field modeling framework for heat pipe application in nuclear reactors[J]. Annals of Nuclear Energy, 2022(165): 108770. |
| [12] | LEE W, SON G. Bubble dynamics and heat transfer during nucleate boiling in a microchannel[J]. Numerical Heat Transfer, Part A: Applications, 2008, 53(10): 1074-1090. |
| [13] | STEPHAN P, BUSSE C. Analysis of the heat transfer coefficient of grooved heat pipe evaporator walls[J]. International Journal of Heat and Mass Transfer, 1992, 35(2): 383-391. |
| [14] | WANG H, GARIMELLA S V, MURTHY J Y. Characteristics of an evaporating thin film in a microchannel[J]. International Journal of Heat and Mass Transfer, 2007, 50(19/20): 3933-3942. |
| [15] | KUNKELMANN C. Numerical modeling and investigation of boiling phenomena[D]. Darmstadt,Germany: Technische Universität, 2011. |
| [16] | BATZDORF S. Heat transfer and evaporation during single drop impingement onto a superheated wall[D]. Darmstadt, Germany: Technische Universität, 2015. |
| [17] | LAY J H, DHIR V K. Shape of a vapor stem during nucleate boiling of saturated liquids[J]. Journal of Heat Transfer, 1995, 117(2): 394-401. |
| [18] | CHO H J, PRESTON D J, ZHU Y, et al. Nanoengineered materials for liquid-vapour phase-change heat transfer[J]. Nature Reviews Materials, 2016, 2(2): 1-17. |
| [19] |
LI Y, CHEN H, XIAO S, et al. Ultrafast diameter-dependent water evaporation from nanopores[J]. Acs Nano, 2019, 13(3): 3363-3372.
doi: 10.1021/acsnano.8b09258 pmid: 30836750 |
| [20] | DAVOODABADI A, GHASEMI H. Evaporation in nano/molecular materials[J]. Advances in Colloid and Interface Science, 2021, 290: 102385. |
| [21] | XIAO S, MENG K, XIE Q, et al. Edge-enhanced ultrafast water evaporation from graphene nanopores[J]. Cell Reports Physical Science, 2022, 3(6): 1-15. |
| [22] | 赵亚溥. 表面与界面物理力学[M]. 北京: 科学出版社, 2012. |
| ZHAO Yapu. Surface and interface physical mechanics[M]. Beijing: Science Press, 2012. | |
| [23] | IYER S, KUMAR A, COVENTRY J, et al. Micro-scale heat transfer modelling of the contact line region of a boiling-sodium bubble[J]. International Journal of Heat and Mass Transfer, 2020, 160: 120106. |
| [24] |
NARAYANAN S, FEDOROV A G, JOSHI Y K. Interfacial transport of evaporating water confined in nanopores[J]. Langmuir, 2011, 27(17): 10666-10676.
doi: 10.1021/la201807a pmid: 21749136 |
| [25] | CHOU C Y, DUAN C H. Surface charge enhanced kinetically-limited evaporation in nanopores[J]. International Journal of Heat and Mass Transfer, 2023, 204: 123865. |
| [26] | WAYNER JR P, KAO Y, LACROIX L. The interline heat-transfer coefficient of an evaporating wetting film[J]. International Journal of Heat and Mass Transfer, 1976, 19(5): 487-492. |
| [27] | ISRAELACHVILI J N. Intermolecular and surface forces[M]. 3rd ed. California, USA: Elsevier Academic Press, 2011. |
| [28] | SCHRAGE R. A theoretical study of interphase mass transfer[M]. New York, USA: Columbia University Press, 1953. |
| [29] | THOMSON W. On the equilibrium of vapour at a curved surface of liquid[J]. Proceedings of the Royal Society of Edinburgh, 1872, 7: 63-68. |
| [30] | CAREY V P. Liquid-vapor phase-change phenomena[M]. 3rd ed. New York, USA: CRS Press, 2020. |
| [31] | REAY D, MCGLEN R, KEW P. Heat pipes:Theory, design and applications[M]. 6th ed. Oxford, UK: Butterworth-Heinemann, 2013. |
| [32] | VALENCIA J J, QUESTED P N. Thermophysical properties[M]//ASM handbook. USA: ASM, 2008: 468-481. |
| [33] | RAJ R, KUNKELMANN C, STEPHAN P, et al. Contact line behavior for a highly wetting fluid under superheated conditions[J]. International Journal of Heat and Mass Transfer, 2012, 55(9/10): 2664-2675. |
| [34] |
HU Z, GONG S. Mesoscopic model for disjoining pressure effects in nanoscale thin liquid films and evaporating extended meniscuses[J]. Langmuir, 2023, 39(37): 13359-13370.
doi: 10.1021/acs.langmuir.3c02068 pmid: 37677082 |
| [35] | HANKS D F, LU Z, SIRCAR J, et al. High heat flux evaporation of low surface tension liquids from nanoporous membranes[J]. ACS Applied Materials & Interfaces, 2020, 12(6): 7232-7238. |
| [36] | VAARTSTRA G, ZHANG L, LU Z, et al. Capillary-fed, thin film evaporation devices[J]. Journal of Applied Physics, 2020, 128(13): 130901. |
| [37] | 杨海旺, 代智文, 王成龙. 碱金属高温热管传热特性研究综述[J]. 热加工工艺, 2022, 51(20): 1-7. |
| YANG Haiwang, DAI Zhiwen, WANG Chenglong. Review on transferring characteristics of alkali metal high temperature heat pipe[J]. Hot Working Technology, 2022, 51(20): 1-7. |
| No related articles found! |
| 阅读次数 | ||||||
|
全文 |
|
|||||
|
摘要 |
|
|||||