小型月面跳跃机器人设计及运动建模 |
| 严赫, 朱星月, 侯张俪, 王卫军, 张执南 |
|
Design and Motion Modeling of a Small-Scale Lunar Jumping Robot |
| YAN He, ZHU Xingyue, HOU Zhangli, WANG Weijun, ZHANG Zhinan |
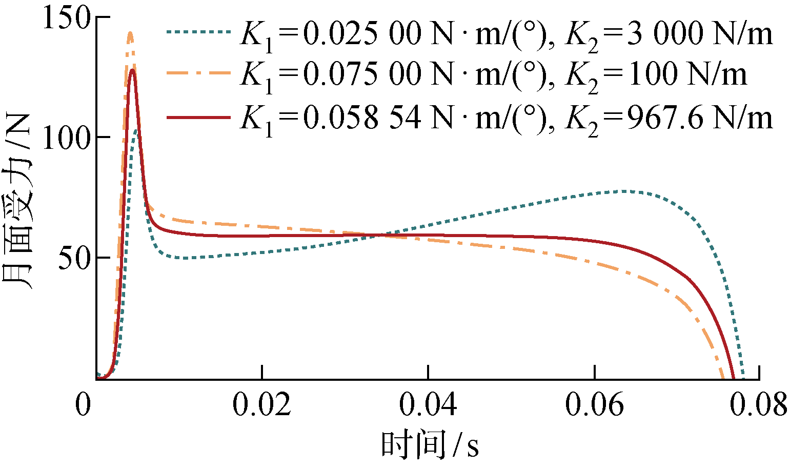
| 图17 储能方案优化过程示意图 |
| Fig.17 Optimization process of the energy storage solution |
|