基于广义极值分布的实测地震动概率统计模型 |
| 冯鹏飞, 周敉, 李志烜, 朱国强 |
|
Probability Statistical Model for Measured Ground Motion Based on Generalized Extreme Value Distribution |
| FENG Pengfei, ZHOU Mi, LI Zhixuan, ZHU Guoqiang |
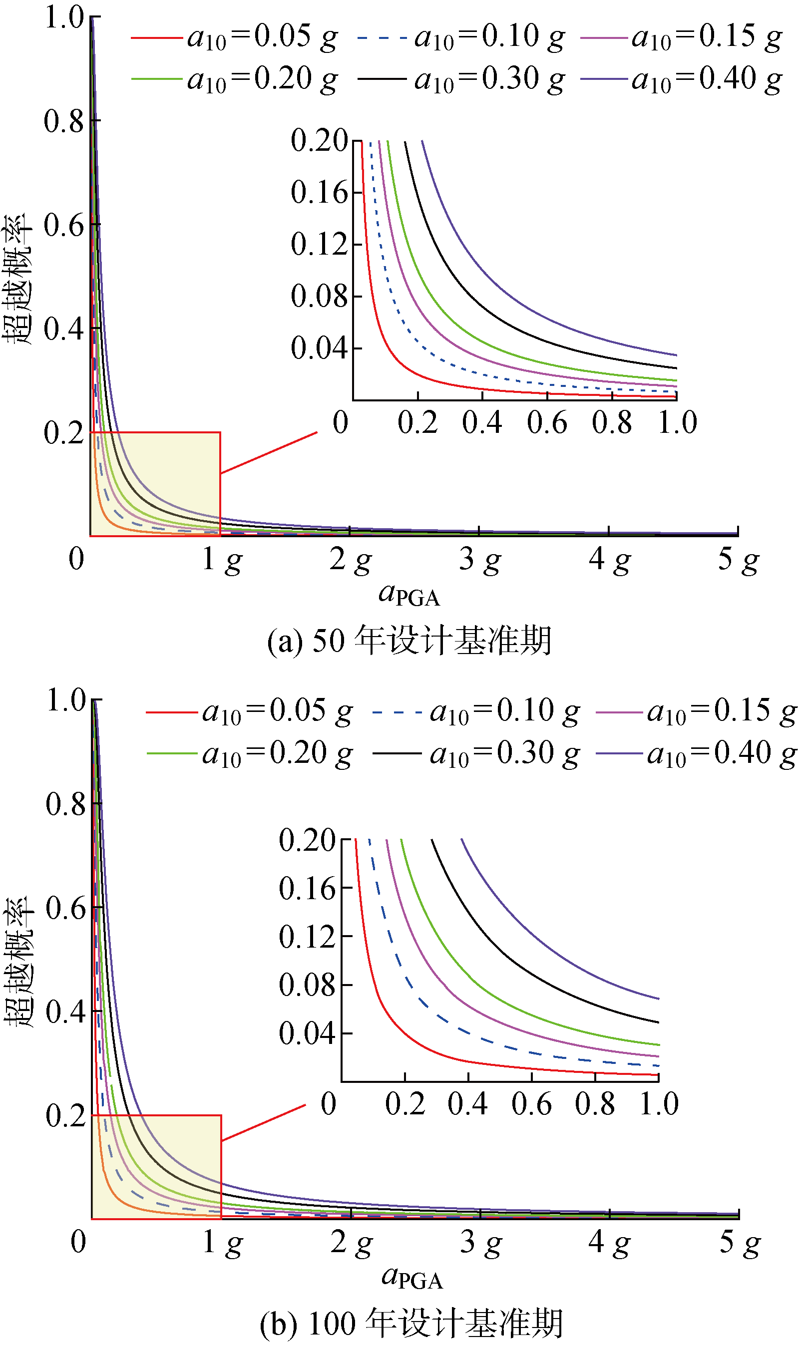
| 图12 II 类场地地震危险性曲线 |
| Fig.12 Seismic hazard curves in Class II sites |
|