裂纹形态对SG夹层玻璃开裂后硬化效应的影响机制 |
| 彭沈楠, 杨健, 王星尔, 陆敏铖, 朱禹翰 |
|
Influence and Mechanism of Crack Morphology on Post-Fracture Stiffening Effect of SG-laminated Glass |
| PENG Shennan, YANG Jian, WANG Xing’er, LU Mincheng, ZHU Yuhan |
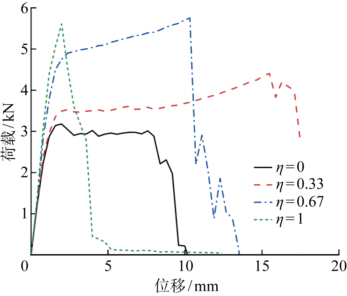
| 图16 模型6a-3不同交错程度有限元模型的荷载-位移曲线 |
| Fig.16 Load-displacement of FEM model 6a-3 with different η values |
|