基于改进MCMC算法和代理模型的结构仿真模型更新 |
| 缪季, 段立平, 刘吉明, 林思伟, 赵金城 |
|
Structural Simulation Model Updating Based on Improved MCMC Algorithm and Surrogate Model |
| MIAO Ji, DUAN Liping, LIU Jiming, LIN Siwei, ZHAO Jincheng |
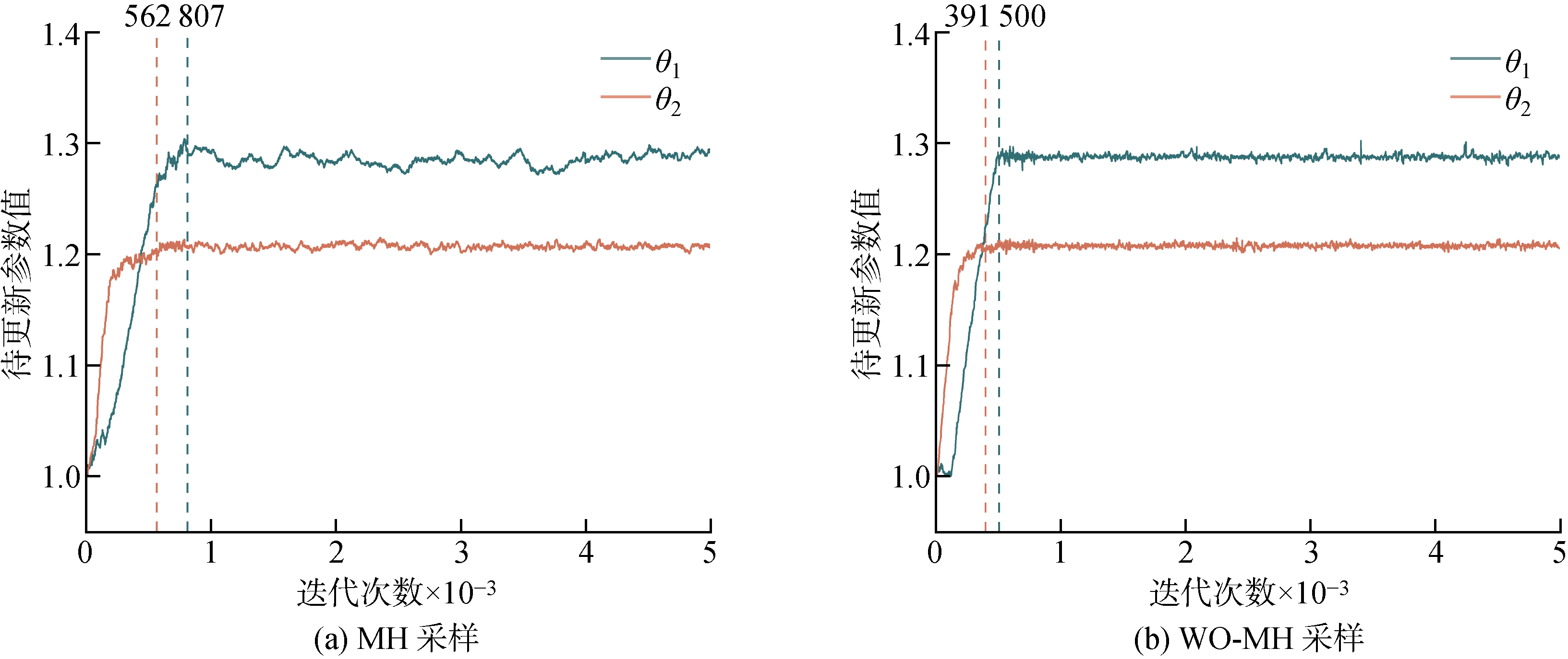
| 图4 不确定参数的马尔可夫链 |
| Fig.4 Markov chains of uncertain parameters |
|