海洋风电场尾流荷载作用下水平轴风力机结构动力响应 |
| 祝怡情, 吴锋, 周岱, 韩兆龙, 卓杨, 朱宏博, 张凯 |
|
Structural Dynamic Response of Offshore Horizontal Axis Wind Turbine Subjected to Wake-Induced Action |
| ZHU Yiqing, WU Feng, ZHOU Dai, HAN Zhaolong, ZHUO Yang, ZHU Hongbo, ZHANG Kai |
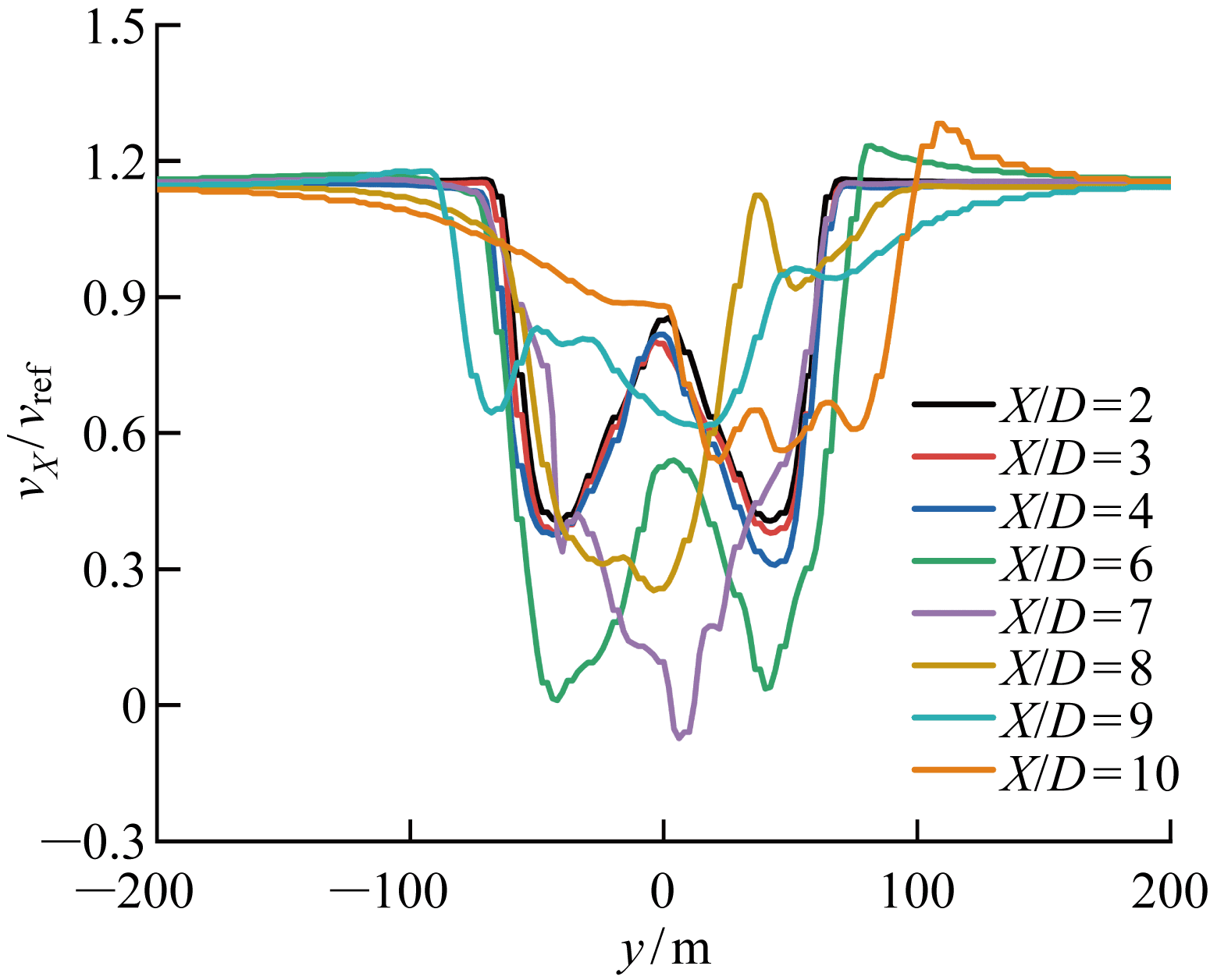
| 图12 展向(X向)风速沿横向(Y向)的变化 |
| Fig.12 Profile of spreading (X-direction) wind speed along the lateral (Y-direction) direction |
|