均匀流作用下并联悬垂双取水管涡激振动载荷特性试验研究 |
| 赵光义, 张萌萌, 付世晓, 许玉旺, 任浩杰, 白英利 |
|
Experimental Study on Vortex-Induced Vibration Force Characteristics of Side-by-Side Double Free-Hanging Water Transmission Pipes Under Uniform Flow |
| ZHAO Guangyi, ZHANG Mengmeng, FU Shixiao, XU Yuwang, REN Haojie, BAI Yingli |
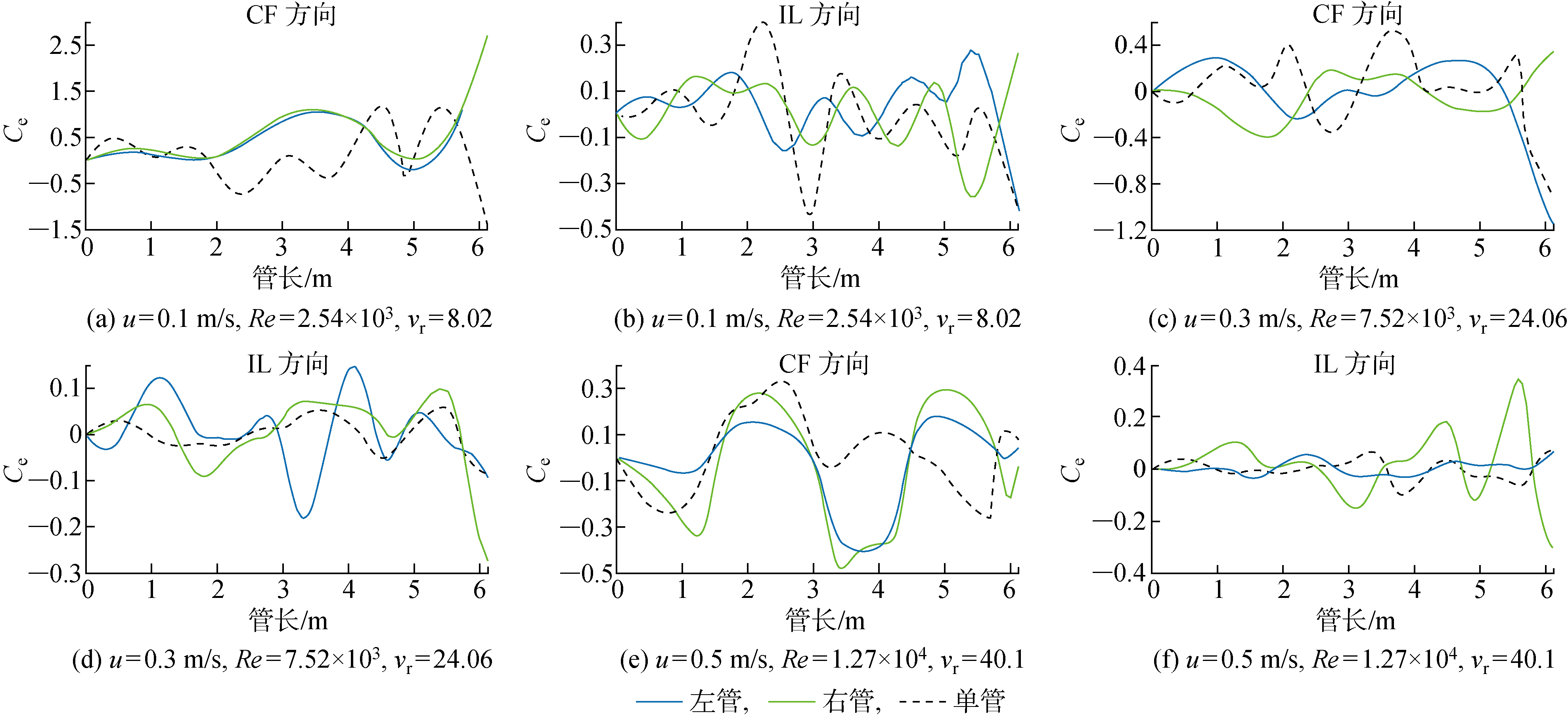
| 图19 悬垂单管与悬垂双管CF和IL方向Ce轴向分布图 |
| Fig.19 Axial distributions of excitation coefficients of single pipe and double pipes in CF and IL directions |
|