附壁射流式多金属结核采集装置几何参数优化 |
| 张栢源, 赵国成, 肖龙飞 |
|
Optimization of Geometrical Parameters of Coandă-Effect-Based Polymetallic Nodule Collection Device |
| ZHANG Baiyuan, ZHAO Guocheng, XIAO Longfei |
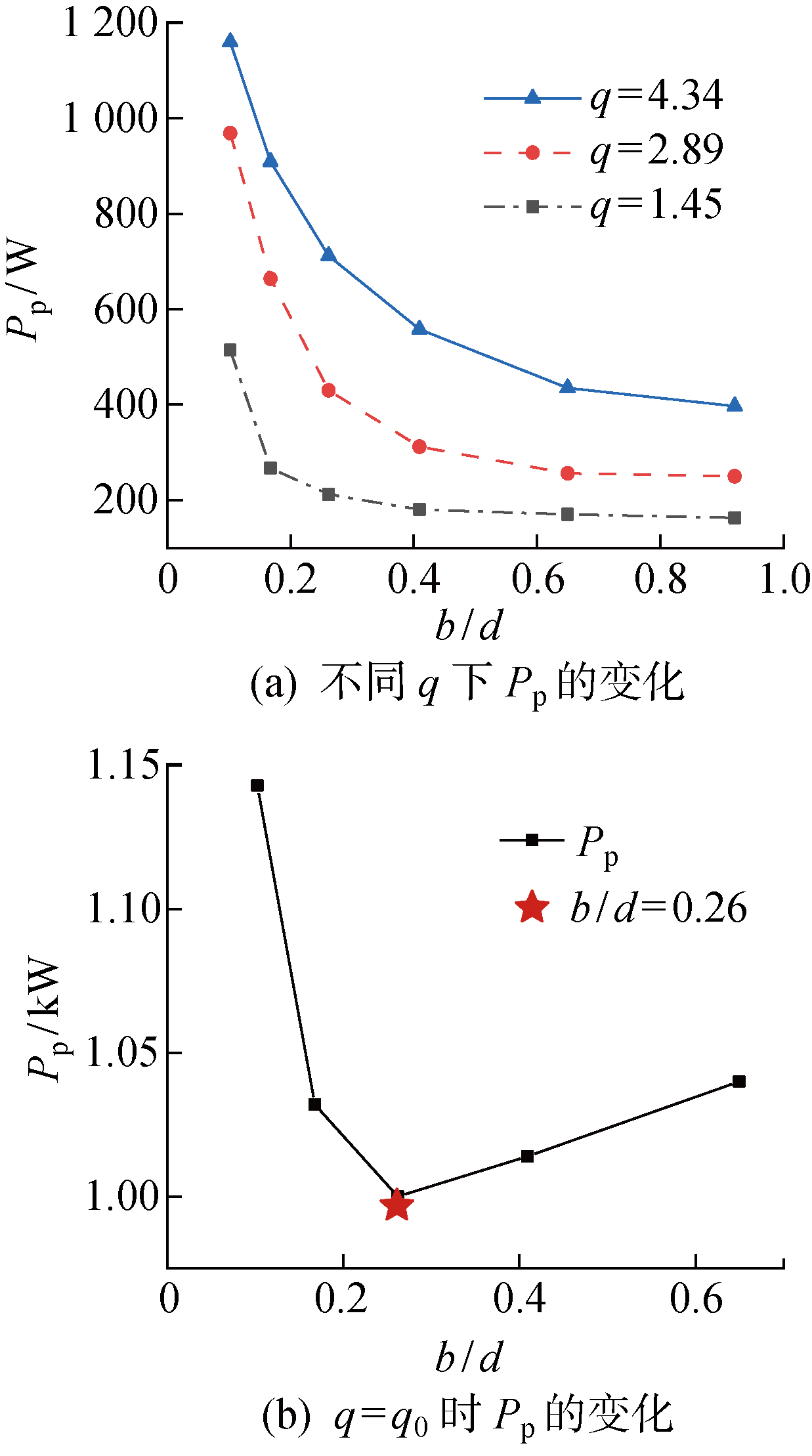
| 图13 b/d对水泵功率Pp的影响 |
| Fig.13 Influence of jet b/d on pump power Pp |
|