基于频域模态法的新能源电力系统振荡稳定性评估 |
| 高磊, 马骏超, 吕敬, 刘佳宁, 王晨旭, 蔡旭 |
|
Oscillatory Stability Assessment of Renewable Power Systems Based on Frequency-Domain Modal Analysis |
| GAO Lei, MA Junchao, LÜ Jing, LIU Jianing, WANG Chenxu, CAI Xu |
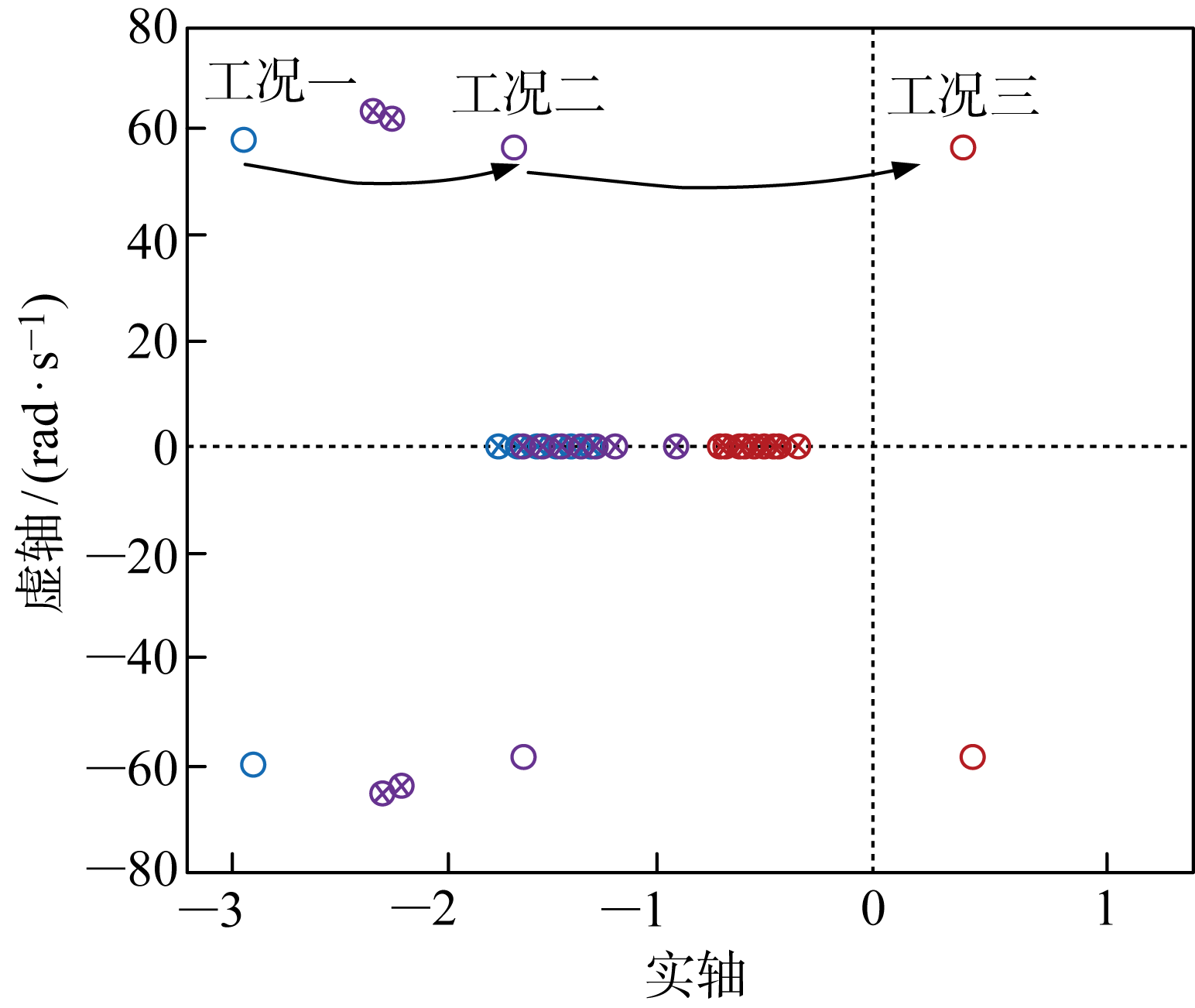
| 图12 变电站ZXG所接入风电场容量变化对系统振荡稳定性的影响 |
| Fig.12 Oscillation stability with variation of OWF capacity in ZXG |
|