空气雾化柴油在多孔介质内稳定燃烧的实验研究 |
| 刘宏升, 梁晓艳, 徐奕辰, 解茂昭 |
|
Experimental Study on Stable Combustion of Air Atomized Diesel in Porous Media |
| LIU Hongsheng, LIANG Xiaoyan, XU Yichen, XIE Maozhao |
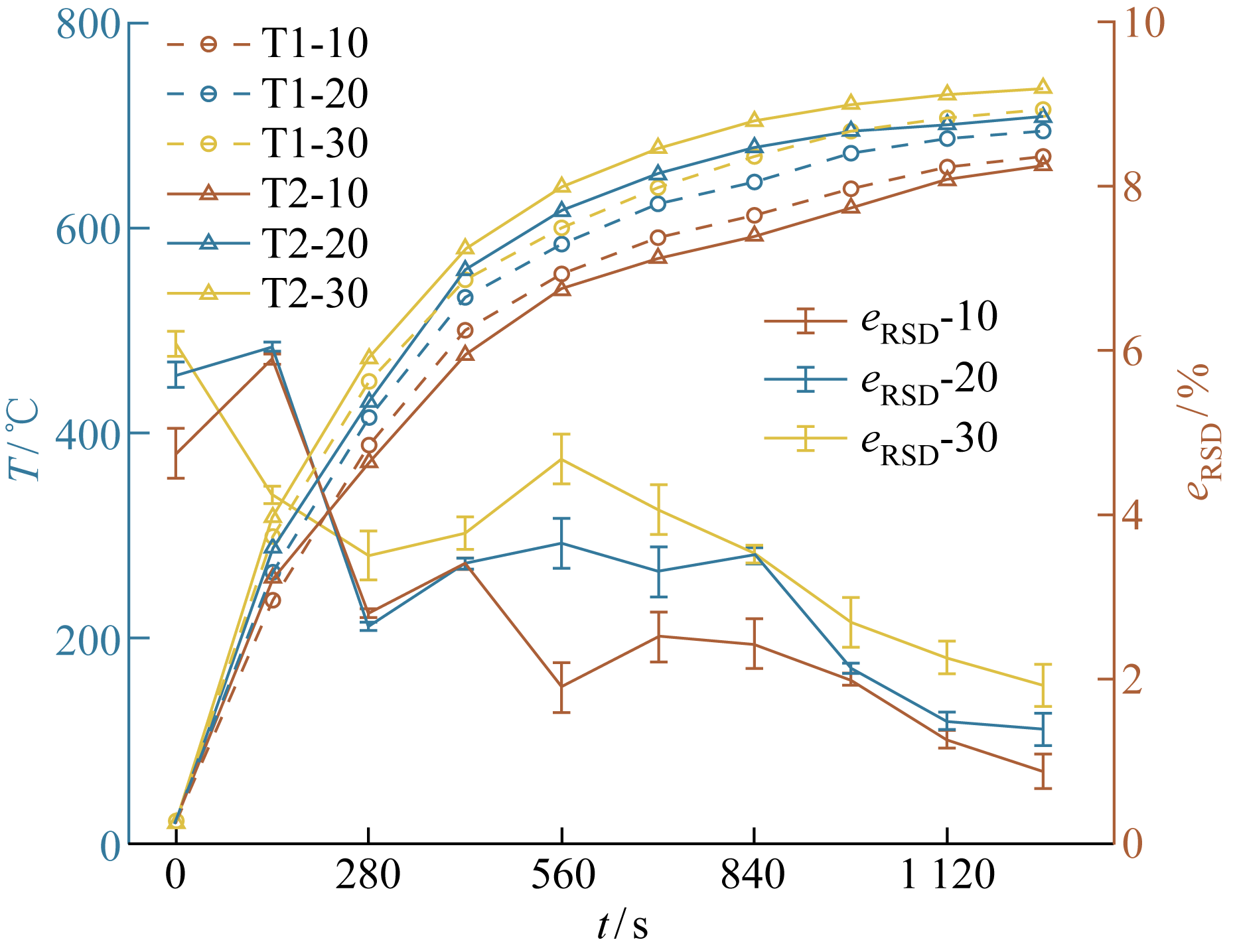
| 图7 预热温度稳定性分析 |
| Fig.7 Analysis of preheating temperature stability |
|