空气雾化柴油在多孔介质内稳定燃烧的实验研究 |
| 刘宏升, 梁晓艳, 徐奕辰, 解茂昭 |
|
Experimental Study on Stable Combustion of Air Atomized Diesel in Porous Media |
| LIU Hongsheng, LIANG Xiaoyan, XU Yichen, XIE Maozhao |
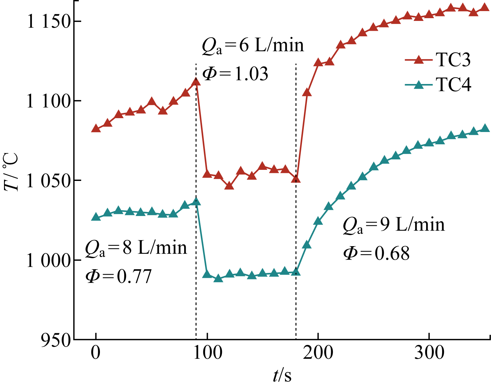
| 图12 空气流量连续变化时核心燃烧区的温度变化 |
| Fig.12 Temperature in core combustion zone with continuous variation of air flow rate |
|