高温热管碱金属工质的蒸发弯月面区域微观传热特性 |
| 马莎莎, 丁圣洁, 刘利民, 赵长颖, 顾汉洋, 龚帅 |
|
Micro-Scale Heat Transfer Characteristics of Evaporating Meniscus for Alkali Metals in High-Temperature Heat Pipes |
| MA Shasha, DING Shengjie, LIU Limin, ZHAO Changying, GU Hanyang, GONG Shuai |
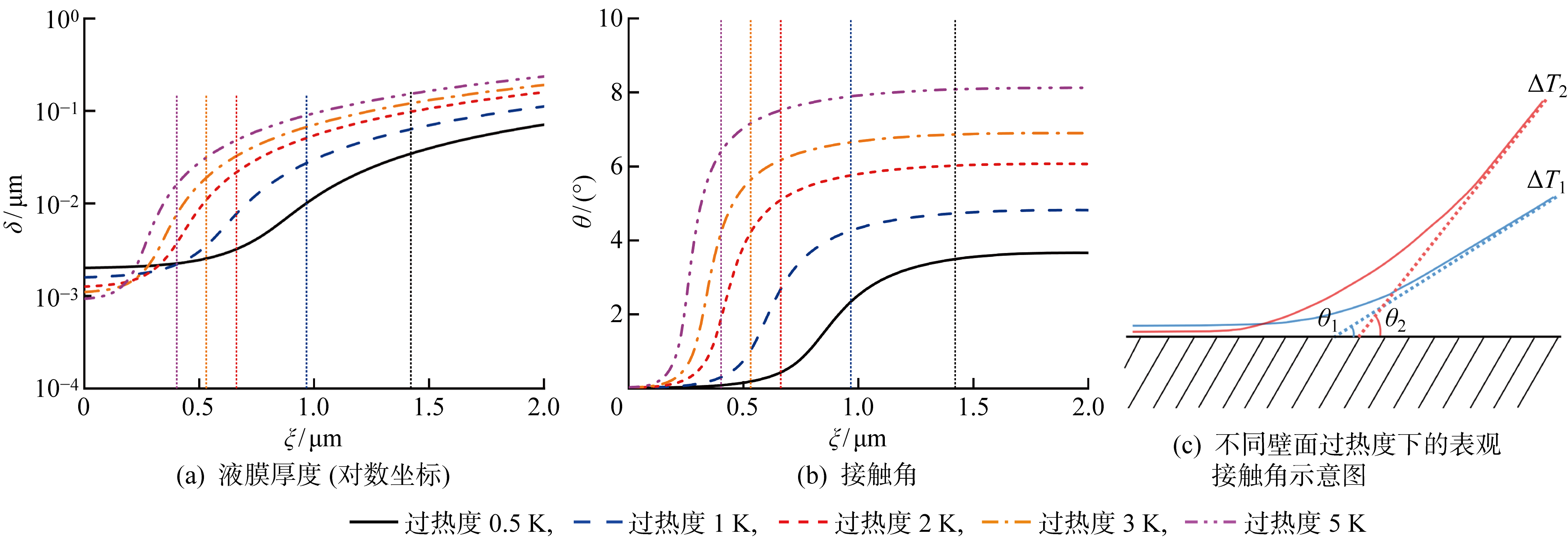
| 图8 不同壁面过热度下蒸发弯月面区域液膜厚度及接触角分布(钠) |
| Fig.8 Film thickness (logarithmic scale),contact angle profile, and schematic of apparent contact angle at different wall superheats for sodium in evaporating meniscus region |
|