高温热管碱金属工质的蒸发弯月面区域微观传热特性 |
| 马莎莎, 丁圣洁, 刘利民, 赵长颖, 顾汉洋, 龚帅 |
|
Micro-Scale Heat Transfer Characteristics of Evaporating Meniscus for Alkali Metals in High-Temperature Heat Pipes |
| MA Shasha, DING Shengjie, LIU Limin, ZHAO Changying, GU Hanyang, GONG Shuai |
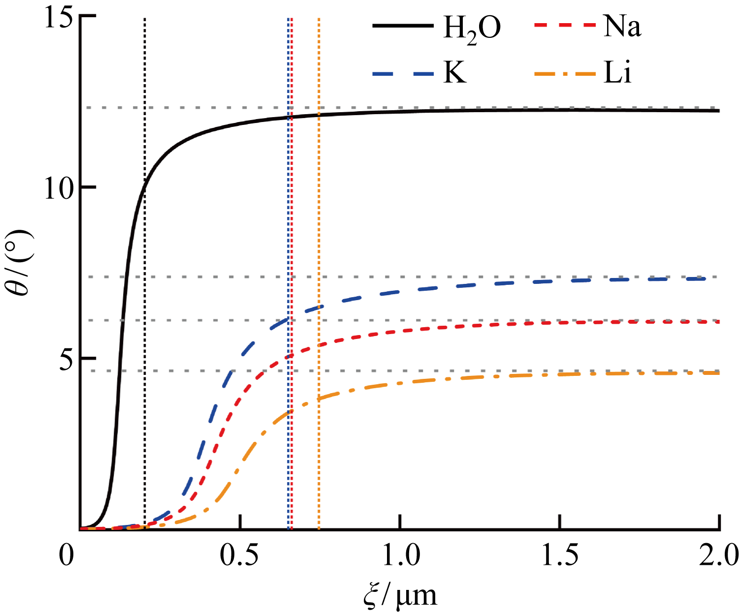
| 图4 蒸发弯月面区域接触角分布(pv=1 atm,Tw-Tsat=2 K) |
| Fig.4 Contact angle profile in evaporating meniscus region (pv=1 atm,Tw-Tsat=2 K) |
|