河口深槽可航宽度变化水域航行决策方法 |
| 贺益雄, 代永刚, 赵兴亚, 于德清, 黄立文 |
|
Navigation Decision-Making Method in Estuary Deep Trough with Varying Width of Navigable Waters |
| HE Yixiong, DAI Yonggang, ZHAO Xingya, YU Deqing, HUANG Liwen |
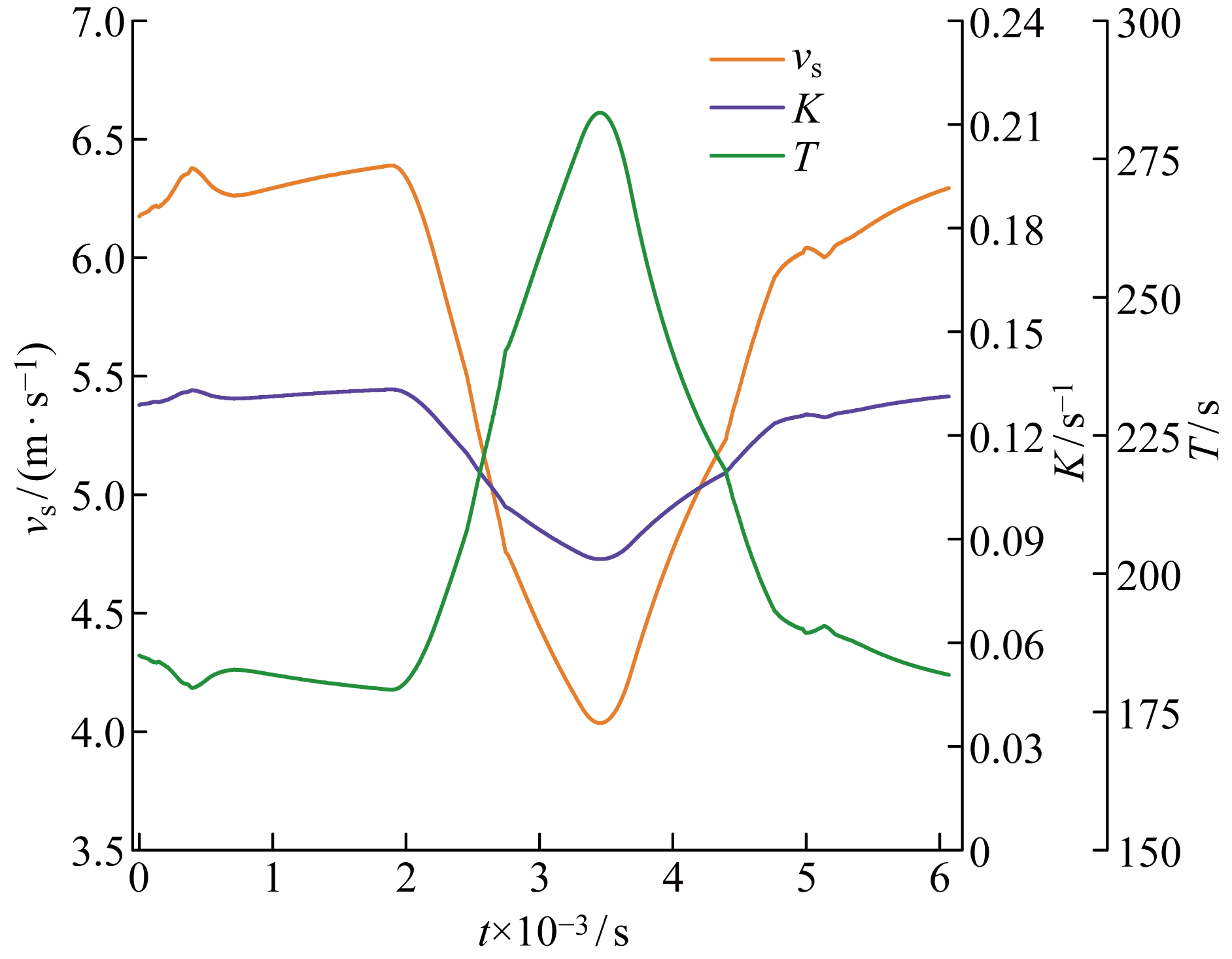
| 图4 K、T值随vs变化曲线 |
| Fig.4 K and T versus vs |
|