新型电力系统下电力二次系统仿真的建模方法 |
| 何瑞文, 谢海骏, 陆嘉亮, 杨长鑫, MOHAMMAD Shahidehpour |
|
Modeling Methods for Power Secondary System Simulation in New Power Systems |
| HE Ruiwen, XIE Haijun, LU Jialiang, YANG Changxin, MOHAMMAD Shahidehpour |
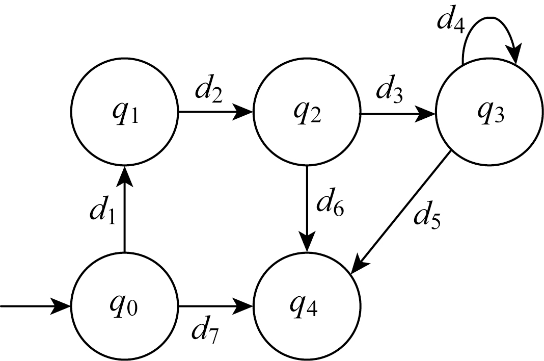
| 图14 服务器MMS报文的FSM设计 |
| Fig.14 FSM design of MMS server message |
|