室温磁致冷材料Mn5Ge2.7Zn0.3的相变、磁热效应和临界行为 |
许童杰, 刘振华, 金怀宇, 刘结, 蒋秀丽, 李哲, 刘永生 |
Phase Transition, Magnetocaloric Effect, and Critical Behavior of Room Temperature Magnetic Refrigerant Material Mn5Ge2.7Zn0.3 |
XU Tongjie, LIU Zhenhua, JIN Huaiyu, LIU Jie, JIANG Xiuli, LI Zhe, LIU Yongsheng |
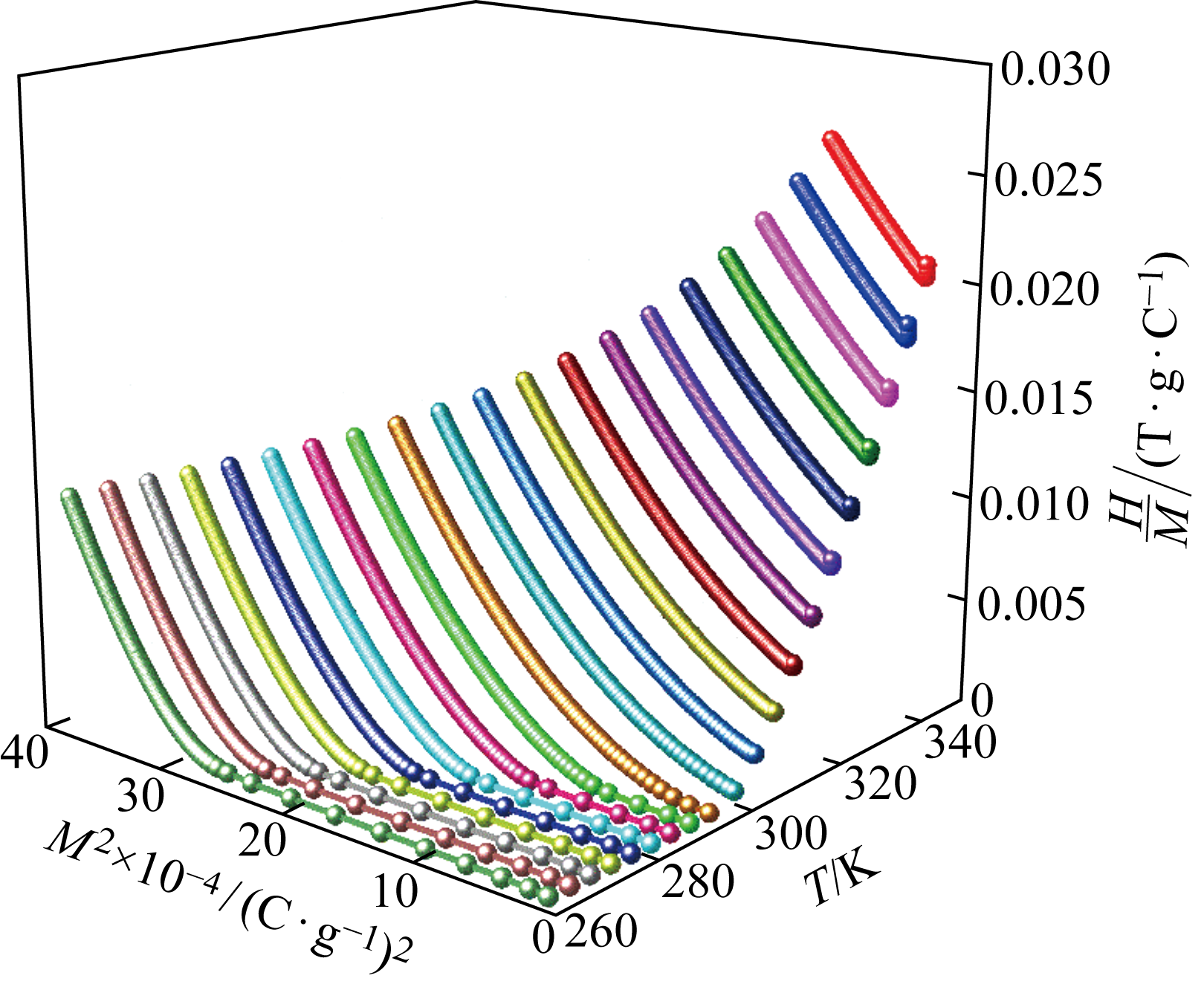
图4 不同温度下Mn5Ge2.7Zn0.3的M2随H/M的变化 |
Fig.4 M2-H/M curves of Mn5Ge2.7Zn0.3 at different temperatures |
![]() |