电网故障下永磁直驱风电机组并网电流的自抗扰控制 |
| 王晗, 王富文, 周党生, 施刚, 张建文, 蔡旭 |
|
Active Disturbance Rejection Control of Current of Direct Drive Wind Turbine in Power Grid Fault |
| WANG Han, WANG Fuwen, ZHOU Dangsheng, SHI Gang, ZHANG Jianwen, CAI Xu |
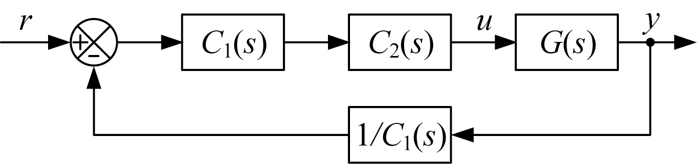
| 图3 LADRC的传递函数框图 |
| Fig.3 Block diagram of transfer function for LADRC |
|