地面堆载对既有隧道影响离心试验和数值分析 |
| 刘谨豪, 严远忠, 张琪, 卞荣, 贺雷, 叶冠林 |
|
Centrifugal Test and Numerical Analysis of Impact of Surface Surcharge on Existing Tunnels |
| LIU Jinhao, YAN Yuanzhong, ZHANG Qi, BIAN Rong, HE Lei, YE Guanlin |
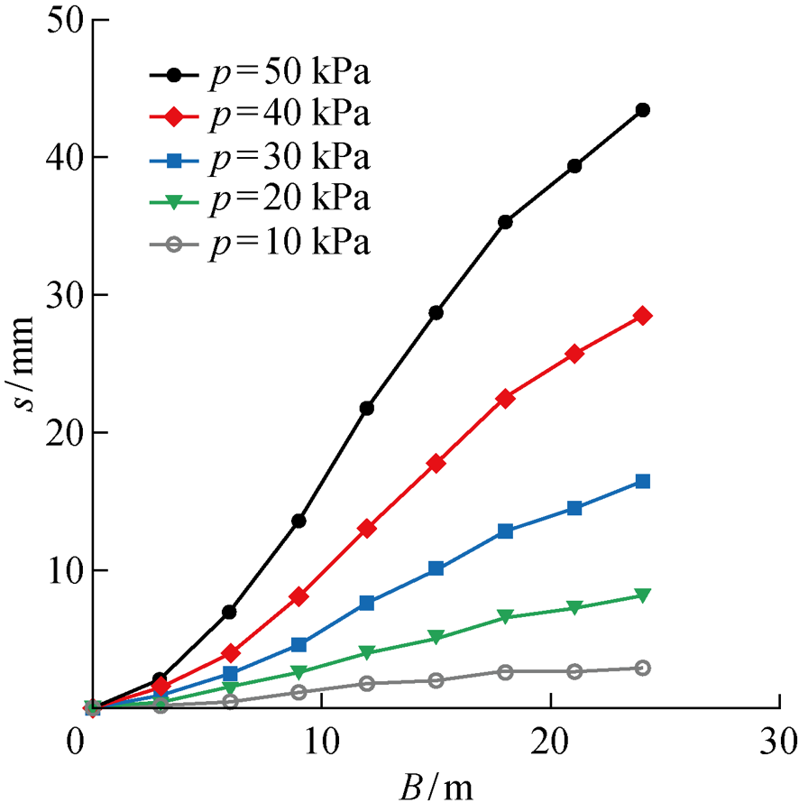
| 图18 隧道位移随堆载宽度变化 |
| Fig.18 Change of tunnel displacement with width of the surcharge |
|