| 分布式粗糙前缘对NACA0012翼型失速特性的影响 | 
| 李艺, 白俊强, 张彦军, 赵轲 | 
| Influence of Distributed Leading-Edge Roughness on Stall Characteristics of NACA0012 Airfoil | 
| LI Yi, BAI Junqiang, ZHANG Yanjun, ZHAO Ke | 
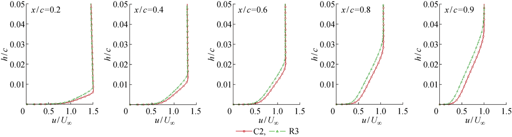
| 图20 α=10° 翼型不同站位速度型分布对比 | 
| Fig.20 Comparisons of velocity profiles at several streamwise locations at α=10° | 
|   |