| 分布式粗糙前缘对NACA0012翼型失速特性的影响 | 
| 李艺, 白俊强, 张彦军, 赵轲 | 
| Influence of Distributed Leading-Edge Roughness on Stall Characteristics of NACA0012 Airfoil | 
| LI Yi, BAI Junqiang, ZHANG Yanjun, ZHAO Ke | 
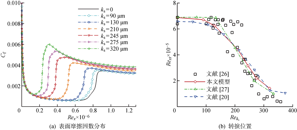
| 图2 表面摩擦因数分布及转捩位置 | 
| Fig.2 Skin friction coefficient distributions and transition locations | 
|   |