分布式粗糙前缘对NACA0012翼型失速特性的影响 |
| 李艺, 白俊强, 张彦军, 赵轲 |
|
Influence of Distributed Leading-Edge Roughness on Stall Characteristics of NACA0012 Airfoil |
| LI Yi, BAI Junqiang, ZHANG Yanjun, ZHAO Ke |
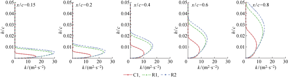
| 图13 α=10° 翼型不同站位湍动能分布对比 |
| Fig.13 Comparisons of turbulence kinetic energy at several streamwise locations at α=10° |
|